Next: 2.15.2 Kinetic energy
Up: 2.15 Vector invariant momentum
Previous: 2.15 Vector invariant momentum
Contents
The vertical component of relative vorticity is explicitly calculated
and use in the discretization. The particular form is crucial for
numerical stability; alternative definitions break the conservation
properties of the discrete equations.
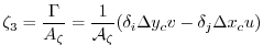
Relative vorticity is defined:
 |
(2.145) |
where
is the area of the vorticity cell presented in
the vertical and
is the circulation about that cell.
mitgcm-support@mitgcm.org
| Copyright © 2006
Massachusetts Institute of Technology |
Last update 2018-01-19 |
 |
|