|
|
|
|
Next: 2.15.8 Vertical dissipation
Up: 2.15 Vector invariant momentum
Previous: 2.15.6 Horizontal divergence
Contents
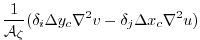
The following discretization of horizontal dissipation conserves
potential vorticity (thickness weighted relative vorticity) and
divergence and dissipates energy, enstrophy and divergence squared:
where
mitgcm-support@mitgcm.org
| Copyright © 2006
Massachusetts Institute of Technology |
Last update 2018-01-19 |
 |
|