|
|
|
|
Next: 2.18.2 Third order direct
Up: 2.18 Non-linear advection schemes
Previous: 2.18 Non-linear advection schemes
Contents
The second order flux limiter method can be cast in several ways but
is generally expressed in terms of other flux approximations. For
example, in terms of a first order upwind flux and second order
Lax-Wendroff flux, the limited flux is given as:
 |
(2.187) |
where
is the limiter function,
 |
(2.188) |
is the upwind flux,
 |
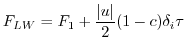
(2.189) |
is the Lax-Wendroff flux and
is the
Courant (CFL) number.
The limiter function,
, takes the slope ratio
as it's argument. There are many choices of limiter function but we
only provide the Superbee limiter Roe [1985]:
![$\displaystyle \psi(r) = \max[0,\min[1,2r],\min[2,r]]$](img955.png) |
(2.192) |
Next: 2.18.2 Third order direct
Up: 2.18 Non-linear advection schemes
Previous: 2.18 Non-linear advection schemes
Contents
mitgcm-support@mitgcm.org
| Copyright © 2006
Massachusetts Institute of Technology |
Last update 2018-01-19 |
 |
|