|
|
|
|
Next: 3.16.3 Code configuration
Up: 3.16 Gravity Plume On
Previous: 3.16.1 Configuration
Contents
3.16.2 Binary input data
Figure 3.17:
Horizontal grid spacing,
, in the across-slope
direction for the gravity plume experiment.
|
|
Figure 3.18:
Topography,
, used for the gravity plume experiment.
|
|
Figure 3.19:
Upward surface heat flux,
, used as forcing in the
gravity plume experiment.
|
|
The domain is
m deep and
km across. Uniform resolution of
m is used in the vertical and variable resolution of
the form shown in Fig. 3.17 with
points
is usedin the horizontal. The formula for
is:
where
Here,
is the resolution on the shelf,
is the
resolution in deep water and
is the number of points in the
horizontal.
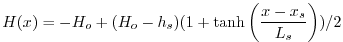
The topography, shown in Fig. 3.18, is given
by:
where
Here,
is the maximum slope,
is the maximum depth,
is
the shelf depth,
is the lateral position of the shelf-break and
is the length-scale of the slope.
The forcing is through heat loss over the shelf, shown in
Fig. 3.19 and takes the form of a fixed flux
with profile:
where
Here,
, is the maximum heat flux,
is the position of the
cut-off and
is the width of the cut-off.
The initial tempeture field is unstratified but with random
perturbations, to induce convection early on in the run. The random
perturbation are calculated in computational space and because of the
variable resolution introduce some spatial correlations but this does
not matter for this experiment. The perturbations have range
.
Next: 3.16.3 Code configuration
Up: 3.16 Gravity Plume On
Previous: 3.16.1 Configuration
Contents
mitgcm-support@mitgcm.org
| Copyright © 2006
Massachusetts Institute of Technology |
Last update 2018-01-20 |
 |
|