Next: 2.14.5 Lateral dissipation
Up: 2.14 Flux-form momentum equations
Previous: 2.14.3 Curvature metric terms
Contents
For the non-hydrostatic equations, dropping the thin-atmosphere
approximation re-introduces metric terms involving
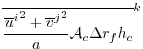
and are
required to conserve angular momentum:
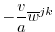
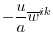
Because we are always consistent, even if consistently wrong, we have,
in the past, used a different discretization in the model which is:
mitgcm-support@mitgcm.org
| Copyright © 2006
Massachusetts Institute of Technology |
Last update 2010-08-24 |
 |
|