Home Contact Us Site Map  
 
       
    next up previous contents
Next: 2.18.4 Multi-dimensional advection Up: 2.18 Non-linear advection schemes Previous: 2.18.2 Third order direct   Contents

2.18.3 Third order direct space time with flux limiting

The overshoots in the DST3 method can be controlled with a flux limiter. The limited flux is written:

$\displaystyle F = \frac{1}{2}(u+\vert u\vert)\left( \tau_{i-1} + \psi(r^+)(\tau...
...{2}(u-\vert u\vert)\left( \tau_{i-1} + \psi(r^-)(\tau_{i} - \tau_{i-1} )\right)$ (2.197)

where
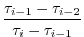
$\displaystyle r^+$ $\displaystyle =$ $\displaystyle \frac{\tau_{i-1} - \tau_{i-2}}{\tau_{i} - \tau_{i-1}}$ (2.198)
$\displaystyle r^-$ $\displaystyle =$ $\displaystyle \frac{\tau_{i+1} - \tau_{i}}{\tau_{i} - \tau_{i-1}}$ (2.199)

and the limiter is the Sweby limiter:

$\displaystyle \psi(r) = \max[0, \min[\min(1,d_0+d_1r],\frac{1-c}{c}r ]]$ (2.200)

\fbox{ \begin{minipage}{4.75in}
{\em S/R GAD\_DST3FL\_ADV\_X} ({\em gad\_dst3\_a...
...bf rTrans} (argument)
\par
$\tau$: {\bf tracer} (argument)
\par
\end{minipage} }



mitgcm-support@mitgcm.org
Copyright © 2006 Massachusetts Institute of Technology Last update 2010-08-24