|
|
|
|
Next: 6.7 Packages Related to
Up: 6.6 Sea Ice Packages
Previous: 6.6.3 SHELFICE Package
Contents
Subsections
6.6.4 STREAMICE Package
Authors: Daniel Goldberg
Package ``streamice'' provides a dynamic land ice model for MITgcm.
As of now, the model tracks only 3 variables:
-velocity (
),
-velocity
(
), and thickness (
). There is also a variable that tracks coverage of
fractional cells, discussed...
By default the model solves the Shallow Shelf approximation (SSA) for velocity.
The SSA is appropriate for floating ice (ice shelf) or ice flowing over a
low-friction bed (e.g. MacAyeal, 1989). The SSA consists of the
-momentum
balance:
 |
(6.88) |
the
-momentum balance:
 |
(6.89) |
From the velocity field, thickness evolves according to the continuity equation:
 |
(6.90) |
Where
is a basal mass balance (e.g. melting due to contact with the
ocean), positive where there is melting. Surface mass balance is not considered,
since pkg/streamice is intended for localized areas (tens to hundreds of
kilometers) over which the integrated effect of surface mass balance is
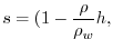
generally small. Where ice is grounded, surface elevation is given by
 |
(6.91) |
where
is the bathymetry, and the basal elevation
is equal to
.
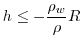
If ice is floating, then the assumption of hydrostasy and constant density gives
 |
(6.92) |
where
is a representative ocean density, and
. Again
by hydrostasy, floation is assumed wherever
 |
(6.93) |
is satisfied. Floatation criteria is stored in float_frac_streamice, equal to 1 where ice is at floatation.
The strain rates
are generalized to the case of orthogonal
curvilinear coordinates, to include the "metric" terms that arise when casting
the equations of motion on a sphere or projection on to a sphere (see pkg/SEAICE, 6.6.2.4.8 of the MITgcm documentation). Thus
has the form arising from Glen's law
 |
(6.94) |
though the form is slightly different if a hybrid formulation is used. Whether
is nonzero depends on whether the floatation condition is satisfied.
Currently this is determined simply on an instantaneous cell-by-cell basis
(unless subgrid interpolation is used), as is the surface elevation
, but
possibly this should be rethought if the effects of tides are to be considered.
has the form
 |
(6.95) |
Again, the form is slightly different if a hybrid formulation is to be used. The
scalar term multiplying
is referred to as
below.
The momentum equations are solved together with appropriate boundary conditions,
discussed below. In the case of a calving front boundary condition (CFBC), the
boundary condition has the following form:
Here
is the normal to the boundary, and
is the bathymetry.
The SSA does not take vertical shear stress or strain rates (e.g.,
,
) into account. Although there are other
terms in the stress tensor, studies have found that in all but a few cases,
vertical shear and longitudinal stresses (represented by the SSA) are sufficient
to represent glaciological flow. streamice can allow for representation of
vertical shear, although the approximation is made that longitudinal stresses
are depth-independent. The stress balance is referred to as "hybrid" because it
is a joining of the SSA and the Shallow Ice Approximation (SIA), which only
accounts only for vertical shear. Such hybrid formulations have been shown to be
valid over a larger range of conditions than SSA (Schoof and Hindmarsh
2010, Goldberg 2011).
In the hybrid formulation,
and
, the depth-averaged
and
velocities, replace
and
in (6.88),
(6.89), and (6.90), and gradients such as
are replaced
by
. Viscosity becomes
 |
(6.98) |
In the formulation for
,
, the horizontal velocity at
is used
instead. The details are given in Goldberg (2011).
The stress balance is solved for velocities using a very straightforward,
structured-grid finite element method. Generally a finite element method is used
to deal with irregularly shaped domains, or to deal with complicated
boundary conditions; in this case it is the latter, as explained below. (NOTE:
this is not meant as a finite element tutorial, and various mathematical objects
are defined nonrigorously. It is simply meant as an overview of the numerical
scheme used.)
In this method, the numerical velocities
and
(or
,
if a hybrid formulation) have a
bilinear shape within each cell. For instance, referring to Fig.
6.6.4.3, at a point (
) within cell (
), and assuming a
rectangular mesh, the
velocity
would be given by
 |
 |
(6.99) |
| |
 |
(6.100) |
| |
 |
(6.101) |
| |
 |
(6.102) |
where
 |
(6.103) |
and e.g.
is the nodal value of
at the top right corner
of the cell. In finite element terms, the functions multiplying a nodal value of
are the shape
functions
corresponding to that node, e.g.
in cell
(
). Note that
is defined at the center of each cell. In the code
velocities are U_STREAMICE and V_STREAMICE, and thickness
is H_STREAMICE.
If we take a vector-valued function
which is in the
``solution space'' of (
) (i.e.
and
are bilinear in each cell
as
defined above, and are zero where velocities are imposed), take the dot product
with by (6.88,6.89), and integrate by parts over the domain
, we get the weak form of the momentum equation:
where
is the part of the domain boundary where a calving front stress
condition is imposed, and
is the driving stress
. Note that the boundary integral does not involve viscosity, or any velocity-dependent terms. This is the advantage of using a finite-element
formulation: viscosity need not be represented at boundaries, and so no complicated one-sided derivative expressions need to be used.
Let
be the vector of all nodal values
that determine
. If we assume that
and
are independent of
,
then for any
, the left hand side of
(6.104) is a linear functional of
, i.e. a linear operator that
returns a scalar. We can choose
and
so that they are nonzero
only at a single node; and we can evaluate (6.104) for each such
and
, giving a linearly independent set of equations for
and
. The left hand side of (6.104) for each
and
is
evaluated in the subroutine STREAMICE_CG_ACTION() in the source file
streamice_cg_functions.f.
The right hand side is evaluated in STREAMICE_DRIVING_STRESS(). The
latter is not a straightforward
calculation, since the thickness
and the surface
are not expressed by
piecewise bilinear functions, and is discussed below.
STREAMICE_CG_ACTION() represents the action of a matrix on
the vector represented by
and STREAMICE_DRIVING_STRESS()
gives the right hand side of a linear system of equations. This information is
enough to solve the linear system, and this is done
with the method of conjugate gradients, implemented (with simple Jacobi
preconditioning) in STREAMICE_CG_SOLVE().
The full nonlinear system is solved in STREAMICE_VEL_SOLVE(). This
subroutine evaluates driving stress and then calls a loop
in which a sequence of linear systems is solved. After each linear solve, the
viscosity
(the array visc_streamice)
and basal traction
(tau_beta_eff_streamice) is updated from
the new iterate of
and
. The iteration
continues until a desired tolerance is reached or the maximum number of
iterations is reached.
Rather than calling STREAMICE_CG_ACTION() each iteration of the conjugate gradient,
the sparse matrix can be constructed explicitly. This is done if STREAMICE_CONSTRUCT_MATRIX
is #defined in STREAMICE_OPTIONS.h. This speeds up the solution because STREAMICE_CG_ACTION()
contains a number of nested loops related to quadrature points and interactions between nodes of a cell.
The driving stress
is not as straightforward to deal
with in the weak formulation, as
and
are
considered constant in a cell. Furthermore, in the ice shelf the driving stress
can be written as
 |
(6.105) |
Among other things, this (along with equations 6.96 and
6.97) implies that for an unconfined shelf (one for which the only
boundaries are a
calving front and a grounding line), the stress state along the grounding line
depends
only on the location at depth of the grounding line. The numerical
representation of velocities
must respect this. Thus the driving stress contribution in the
momentum
equation at node
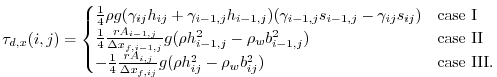
is given as follows.
 |
(6.106) |
where
 |
(6.107) |
is the area of cell (
) and
is the width of the
cell at its
midpoint. Cases I, II, and III refer to the situations when (I)
both cells (
) and (
) are in the domain, (II) only cell (
) is
in the domain, and (III) only cell (
) is in the domain. (The fact that
is being calculated means that the implied boundary is a
calving stress boundary, as explained below.) The above expression gives the
contribution
from the cells above node (
) (in the
direction). A similar expression
gives the contribution from cells (
) and (
), and
corresponding expressions approximate driving stress in the
momentum
equation. In the ice shelf, the case I expressions give approximations for
(6.105) which are discretely integrable; in grounded ice the
expression need not be integrable, so any errors associated with varying grid
metrics
can be subsumed into the discretization error.
If the grid is not rectangular, but given in orthogonal curvilinear coordinates, the evaluation of (6.104) is not exact, since the gradient of the basis functions are approximated, as we do not have complete knowledge of the coordinate system, only the grid metrics. Still, we consider nodal basis functions that are equal to 1 at a single node, and zero elsewhere in a cell.
A cell (
) has separation
at the bottom and
at the top (referred to as dxG(i,j) and dxG(i,j+1) in the code). So, for instance, for a cell given by
, the
-derivative of the basis function centered at (
) is approximated by
 |
(6.108) |
where
is the
-coordinate of the quadrature point being used. (The code currently uses 2-point gauss quadrature to evaluate the integrals in (6.104); with a rectangular grid and cellwise-constant
and
, this is exact.)
Basis function derivatives and quadrature weights are stored in Dphi and grid_jacq_streamice. Both are initialized in STREAMICE_INIT_PHI, called only once.
The computational domain (which may be smaller than the array/grid as defined by
SIZE.h and GRID.h) is determined by a number of mask arrays
within the STREAMICE package. They are
(STREAMICE_hmask): equal to 1 (ice-covered), 0 (open
ocean), 2 (partly-covered), or -1 (out of domain)
(STREAMICE_umask): equal to 1 (an ``active'' velocity
node), 3 (a Dirichlet node), or 0 (zero velocity)
(STREAMICE_vmask): similar to umask
-
(STREAMICE_ufacemaskbdry): equal to -1
(interior face), 0 (no-slip), 1 (no-stress), 2 (calving stress front), 3
(Dirichlet), or 4 (flux input boundary); when 4, then u_flux_bdry_SI must be initialized, through binary or parameter file
-
(STREAMICE_vfacemaskbdry): similar to
ufacemaskbdry
is defined at cell centers, like
.
and
are defined at
cell nodes, like velocities.
and
are defined at
cell faces, like velocities in a
-grid - but unless
STREAMICE_GEOM_FILE_SETUP is #defined in
STREAMICE_OPTIONS.h, the values are only relevant at the boundaries of
the grid.
Essentially
controls the domain; it is specified at initialization and does not change unless calving front advance is allowed.
and
are defined at initialization as well. Masks are either initialized through binary files or through the text file data.streamice (see the streamice tutorial)
The values of
and
determine which nodal values of
and
are involved in the solve for velocities.
Before each call to STREAMICE_VEL_SOLVE(),
and
are re-initialized. Values are only relevant if they border a cell where
.
Furthermore, if a cell face is a ``no-slip'' face, both
and
are set to zero at the face's nodal endpoints.
If the face is a Dirichlet boundary, both nodal endpoints are set to 3. If
on the
boundary of a cell, i.e. it is a no-stress boundary, then
is set to 1 at both endpoints while
is set to zero (i.e. no normal flow). If the face is a flux boundary, velocities are set to zero (see ???).
For a calving stress front,
and
are 1: the nodes represent active degrees of freedom.
With
and
appropriately initialized, STREAMICE_VEL_SOLVE can proceed rather generally. Contributions to (6.104) are only
evaluated if
in a given cell, and a given nodal basis function is only considered if
or
at that node.
(6.90) is solved in the subroutine STREAMICE_ADVECT_THICKNESS, similarly to the advection routines in MITgcm. Mass fluxes are evaluated, first in the
-direction. This is done in the generic subroutine STREAMICE_ADV_FLUX_FL_X. Flux velocity in the
direction at face (
) are generated by averaging
and
. Assuming the flux velocity is positive, if
and
are equal to 1, then flux thickness, i.e. the interpolation of
at face (
), is through a minmod limiter as in the generic_advdiff package. If these values are not available, then a zero-order upwind flux is used. The exception is when STREAMICE_ufacemask(i,j) is equal to 4; then u_flux_bdry_SI(i,j) is used for the flux. Fluxes are then differenced to update
in cells that are active (
); a similar procedure follows for the
direction.
Flux out of the domain across Dirichlet boundaries is ignored, and flux at no-flow or no-stress boundaries is zero. However, fluxes that cross calving boundaries are stored, and if STREAMICE_move_front=.true., then STREAMICE_ADV_FRONT is called after all cells with
have their thickness updated. In this subroutine, cells with
or
with nonzero fluxes entering their boundaries are processed.
The algorithm is based on Albrecht (2011). In this scheme, if cell (
) fits the criteria, a reference thickness
is found, defined as an average over the thickness of all neighboring cells with
that are contributing mass to (
). The total mass input over the time step to (
) is calculated as
. This is added to the volume of ice already in the cell, which is nonzero only if
at the beginning of the time step, and is equal to
 |
(6.109) |
(If
is not equal to 1, then
has not yet been updated in the current time step.)
is stored in the array area_shelf_streamice. The total volume,
, is then equal to
. Next an effective thickness
 |
(6.110) |
is found. If
(but nonzero) then
-
is set to 2,
is set to
,
is set to
.
If, on the other hand,
,
-
is set to 1,
is set to
,
is set to
,
- Excess flux
is found.
If
is zero, nothing more needs to happen. If it is positive, then
- adjacent cells that are not completely covered (
or 1) are searched for.
- if there are no suitable cells,
is put back into cell (
) (
is set to
).
- if there are suitable cells,
is divided uniformly among the corresponding faces of the receiving cells, and the algorithm begins again.
The last step is a recursive one; in theory the recursion could continue indefinitely, but in practice at most one recursive call is done. The decision to spread the excess flux uniformly is not the most physically motivated choice, but with appropriate time steps the excess flux value is expected to be small, and is more a matter of mass/volume conservation. This algorithm, while complicated, is necessary for realistic front advance. If newly-covered cells were given full coverage instead of partial coverage and volume were conserved, the front would quickly diffuse.
If calve_to_mask=.true., this sets a limit to how far the front can advance, even if advance is allowed. The front will not advance into cells where the array calve_mask is not equal to 1. This mask must be set through a binary input file.
No calving parameterisation is implemented in STREAMICE. However, front advancement is a precursor for such a development to be added.
After updating thickness in fully- and partially-covered cells, surface and basal mass balances are applied to nonempty cells. Currently surface mass balance is a uniform value, set through the parameter streamice_adot_uniform. Basal melt rates are stored in the array BDOT_streamice, but are multiplied through by float_frac_streamice before being applied.
Next: 6.7 Packages Related to
Up: 6.6 Sea Ice Packages
Previous: 6.6.3 SHELFICE Package
Contents
mitgcm-support@mitgcm.org
| Copyright © 2006
Massachusetts Institute of Technology |
Last update 2018-01-17 |
 |
|