|
|
|
|
Next: 6.3.2 RBCS Package
Up: 6.3 General purpose numerical
Previous: 6.3 General purpose numerical
Contents
Subsections
Authors:
Alistair Adcroft, Patrick Heimbach, Samar Katiwala, Martin Losch
6.3.1.1 Introduction
The OBCS-package is fundamental to regional ocean modelling with the
MITgcm, but there are so many details to be considered in
regional ocean modelling that this package cannot accomodate all
imaginable and possible options. Therefore, for a regional simulation
with very particular details, it is recommended to familiarize oneself
not only with the compile- and runtime-options of this package, but
also with the code itself. In many cases it will be necessary to adapt
the obcs-code (in particular S/R OBCS_CALC) to the application
in question; in these cases the obcs-package (together with the
rbcs-package, section 6.3.2) is a very
useful infrastructure for implementing special regional models.
6.3.1.2 OBCS configuration and compiling
As with all MITgcm packages, OBCS can be turned on or off
at compile time
- using the packages.conf file by adding obcs to it,
- or using genmake2 adding
-enable=obcs or -disable=obcs switches
- Required packages and CPP options:
To alternatives are available for prescribing open boundary values,
which differ in the way how OB's are treated in time:
A simple time-management (e.g. constant in time, or cyclic with
fixed fequency) is provided through
S/R obcs_external_fields_load.
More sophisticated ``real-time'' (i.e. calendar time) management is
available through obcs_prescribe_read.
The latter case requires
packages cal and exf to be enabled.
(see also Section 3.4).
Parts of the OBCS code can be enabled or disabled at compile time
via CPP preprocessor flags. These options are set in
OBCS_OPTIONS.h. Table 6.3.1.2 summarizes them.
Table 6.2:
|
CPP option |
Description |
|
ALLOW_OBCS_NORTH |
enable Northern OB |
|
ALLOW_OBCS_SOUTH |
enable Southern OB |
|
ALLOW_OBCS_EAST |
enable Eastern OB |
|
ALLOW_OBCS_WEST |
enable Western OB |
|
ALLOW_OBCS_PRESCRIBE |
enable code for prescribing OB's |
|
ALLOW_OBCS_SPONGE |
enable sponge layer code |
|
ALLOW_OBCS_BALANCE |
enable code for balancing transports through OB's |
|
ALLOW_ORLANSKI |
enable Orlanski radiation conditions at OB's |
|
ALLOW_OBCS_STEVENS |
enable Stevens (1990) boundary conditions at OB's |
|
|
(currently only implemented for eastern and western |
|
|
boundaries and NOT for ptracers) |
|
6.3.1.3 Run-time parameters
Run-time parameters are set in files
data.pkg, data.obcs, and data.exf
if ``real-time'' prescription is requested
(i.e. package exf enabled).
vThese parameter files are read in S/R
packages_readparms.F, obcs_readparms.F, and
exf_readparms.F, respectively.
Run-time parameters may be broken into 3 categories:
(i) switching on/off the package at runtime,
(ii) OBCS package flags and parameters,
(iii) additional timing flags in data.exf, if selected.
The OBCS package is switched on at runtime by setting
useOBCS = .TRUE. in data.pkg.
Table 6.3 summarizes the
runtime flags that are set in data.obcs, and
their default values.
Table 6.3:
pkg OBCS run-time parameters
|
Flag/parameter |
default |
Description |
|
basic flags & parameters (OBCS_PARM01) |
|
OB_Jnorth |
0 |
Nx-vector of J-indices (w.r.t. Ny) of Northern OB
at each I-position (w.r.t. Nx) |
|
OB_Jsouth |
0 |
Nx-vector of J-indices (w.r.t. Ny) of Southern OB
at each I-position (w.r.t. Nx) |
|
OB_Ieast |
0 |
Ny-vector of I-indices (w.r.t. Nx) of Eastern OB
at each J-position (w.r.t. Ny) |
|
OB_Iwest |
0 |
Ny-vector of I-indices (w.r.t. Nx) of Western OB
at each J-position (w.r.t. Ny) |
|
useOBCSprescribe |
.FALSE. |
|
|
useOBCSsponge |
.FALSE. |
|
|
useOBCSbalance |
.FALSE. |
|
|
OBCS_balanceFacN/S/E/W |
1 |
factor(s) determining the details
of the balaning code |
|
useOrlanskiNorth/South/EastWest |
.FALSE. |
turn on Orlanski boundary conditions for individual boundary |
|
useStevensNorth/South/EastWest |
.FALSE. |
turn on Stevens boundary conditions for individual boundary |
|
OBXyFile |
|
file name of OB field |
|
|
|
X: N(orth), S(outh),
E(ast), W(est) |
|
|
|
y: t(emperature), s(salinity),
u(-velocity), v(-velocity), |
|
|
|
w(-velocity), eta(sea surface height) |
|
|
|
a(sea ice area), h(sea ice thickness),
sn(snow thickness), sl(sea ice salinity) |
|
Orlanski parameters (OBCS_PARM02) |
|
cvelTimeScale |
2000 sec |
averaging period for phase speed |
|
CMAX |
0.45 m/s |
maximum allowable phase speed-CFL for AB-II |
|
CFIX |
0.8 m/s |
fixed boundary phase speed |
|
useFixedCEast |
.FALSE. |
|
|
useFixedCWest |
.FALSE. |
|
|
Sponge-layer parameters (OBCS_PARM03) |
|
spongeThickness |
0 |
sponge layer thickness (in # grid points) |
|
Urelaxobcsinner |
0 sec |
relaxation time scale at the
innermost sponge layer point of a meridional OB |
|
Vrelaxobcsinner |
0 sec |
relaxation time scale at the
innermost sponge layer point of a zonal OB |
|
Urelaxobcsbound |
0 sec |
relaxation time scale at the
outermost sponge layer point of a meridional OB |
|
Vrelaxobcsbound |
0 sec |
relaxation time scale at the
outermost sponge layer point of a zonal OB |
|
Stevens parameters (OBCS_PARM04) |
|
T/SrelaxStevens |
0 sec |
relaxation time scale for
temperature/salinity |
|
useStevensPhaseVel |
.TRUE. |
|
|
useStevensAdvection |
.TRUE. |
|
|
6.3.1.4 Defining open boundary positions
There are four open boundaries (OBs), a
Northern, Southern, Eastern, and Western.
All OB locations are specified by their absolute
meridional (Northern/Southern) or zonal (Eastern/Western) indices.
Thus, for each zonal position
a meridional index
specifies the Northern/Southern OB position,
and for each meridional position
, a zonal index
specifies the Eastern/Western OB position.
For Northern/Southern OB this defines an
-dimensional
``row'' array
/
,
and an
-dimenisonal
``column'' array
/
.
Positions determined in this way allows Northern/Southern
OBs to be at variable
(or
) positions, and Eastern/Western
OBs at variable
(or
) positions.
Here, indices refer to tracer points on the C-grid.
A zero (0) element in
,
means there is no corresponding OB in that column/row.
For a Northern/Southern OB, the OB V point is to the South/North.
For an Eastern/Western OB, the OB U point is to the West/East.
For example,
OB_Jnorth(3)=34 means that:
T(3,34) is a an OB point
U(3,34) is a an OB point
V(3,34) is a an OB point
OB_Jsouth(3)=1 means that:
T(3,1) is a an OB point
U(3,1) is a an OB point
V(3,2) is a an OB point
OB_Ieast(10)=69 means that:
T(69,10) is a an OB point
U(69,10) is a an OB point
V(69,10) is a an OB point
OB_Iwest(10)=1 means that:
T(1,10) is a an OB point
U(2,10) is a an OB point
V(1,10) is a an OB point
For convenience, negative values for Jnorth/Ieast refer to
points relative to the Northern/Eastern edges of the model
eg.
means that the point
is a northern OB.
Simple examples: For a model grid with
horizontal grid points with four open boundaries
along the four egdes of the domain, the simplest way of specifying the
boundary points in data.obcs is:
OB_Ieast = 144*-1,
# or OB_Ieast = 144*120,
OB_Iwest = 144*1,
OB_Jnorth = 120*-1,
# or OB_Jnorth = 120*144,
OB_Jsouth = 120*1,
If only the first
grid points of the southern boundary are
boundary points:
OB_Jsouth(1:50) = 50*1,
Add special comments for case #define NONLIN_FRSURF,
see obcs_ini_fixed.F
6.3.1.5 Equations and key routines
Set OB positions through arrays
OB_Jnorth(Nx), OB_Jsouth(Nx), OB_Ieast(Ny), OB_Iwest(Ny),
and runtime flags (see Table 6.3).
Top-level routine for filling values to be applied at OB for
into corresponding
``slice'' arrays
,
for each OB:
; e.g. for salinity array at
Southern OB, array name is
.
Values filled are either
- constant vertical
profiles as specified in file
data (tRef(Nr), sRef(Nr)) with zero velocities
,
values determined via Orlanski radiation conditions
(see below),
- prescribed time-constant or time-varying fields (see below).
- use prescribed boundary fields to compute Stevens boundary conditions.
Orlanski radiation conditions [Orlanski, 1976], examples can be found in
verification/dome and
verification/tutorial_plume_on_slope
(3.16).
When useOBCSprescribe = .TRUE. the model tries to read
temperature, salinity, u- and v-velocities from files specified in the
runtime parameters OB[N/S/E/W][t/s/u/v]File. These files are
the usual IEEE, big-endian files with dimensions of a section along an
open boundary:
- For North/South boundary files the dimensions are
time levels
, for East/West boundary
files the dimensions are
time levels
.
- If a non-linear free surface is used
(2.10.2), additional files
OB[N/S/E/W]etaFile for the sea surface height
with
dimension
time levels
may be specified.
- If non-hydrostatic dynamics are used
(2.9), additional files
OB[N/S/E/W]wFile for the vertical velocity
with
dimensions
time levels
can be
specified.
- If useSEAICE=.TRUE. then additional files
OB[N/S/E/W][a,h,sl,sn,uice,vice] for sea ice area, thickness
(HEFF), seaice salinity, snow and ice velocities
time levels
can be specified.
As in S/R external_fields_load or the exf-package, the
code reads two time levels for each variable, e.g. OBNu0 and
OBNu1, and interpolates linearly between these time levels to
obtain the value OBNu at the current model time (step). When the
exf-package is used, the time levels are controlled for each
boundary separately in the same way as the exf-fields in
data.exf, namelist EXF_NML_OBCS. The runtime flags
follow the above naming conventions, e.g. for the western boundary the
corresponding flags are OBCWstartdate1/2 and
OBCWperiod. Sea-ice boundary values are controlled separately
with siobWstartdate1/2 and siobWperiod. When the
exf-package is not used, the time levels are controlled by the
runtime flags externForcingPeriod and externForcingCycle
in data, see verification/exp4 for an example.
(THE IMPLEMENTATION OF THESE BOUNDARY CONDITIONS IS NOT
COMPLETE. PASSIVE TRACERS, SEA ICE AND NON-LINEAR FREE SURFACE ARE NOT
SUPPORTED PROPERLY.)
The boundary conditions following Stevens [1990] require the
vertically averaged normal velocity (originally specified as a stream
function along the open boundary)
and the tracer fields
(note: passive tracers are currently not implemented and
the code stops when package ptracers is used together with this
option). Currently, the code vertically averages the normal velocity
as specified in OB[E,W]u or OB[N,S]v. From these
prescribed values the code computes the boundary values for the next
timestep
as follows (as an example, we use the notation for an
eastern or western boundary):
See Stevens [1990] for details. With this boundary condition
specifying the exact net transport across the open boundary is simple,
so that balancing the flow with (S/R OBCS_BALANCE_FLOW, see next
paragraph) is usually not necessary.
When turned on (ALLOW_OBCS_BALANCE
defined in OBCS_OPTIONS.h and useOBCSbalance=.true. in
data.obcs/OBCS_PARM01), this routine balances the net flow
across the open boundaries. By default the net flow across the
boundaries is computed and all normal velocities on boundaries are
adjusted to obtain zero net inflow.
This behavior can be controlled with the runtime flags
OBCS_balanceFacN/S/E/W. The values of these flags determine
how the net inflow is redistributed as small correction velocities
between the individual sections. A value ``-1'' balances an
individual boundary, values
determine the relative size of the
correction. For example, the values
OBCS_balanceFacE = 1.,
OBCS_balanceFacW = -1.,
OBCS_balanceFacN = 2.,
OBCS_balanceFacS = 0.,
make the model
- correct Western OBWu by substracting a uniform velocity to
ensure zero net transport through the Western open boundary;
- correct Eastern and Northern normal flow, with the Northern
velocity correction two times larger than the Eastern correction, but
not the Southern normal flow, to ensure that the total inflow through
East, Northern, and Southern open boundary is balanced.
The old method of balancing the net flow for all sections individually
can be recovered by setting all flags to -1. Then the normal
velocities across each of the four boundaries are modified separately,
so that the net volume transport across each boundary is
zero. For example, for the western boundary at
, the modified
velocity is:
This also ensures a net total inflow of zero through all boundaries,
but this combination of flags is not useful if you want to
simulate, say, a sector of the Southern Ocean with a strong ACC
entering through the western and leaving through the eastern boundary,
because the value of ``-1'' for these flags will make sure that
the strong inflow is removed. Clearly, gobal balancing with
OBCS_balanceFacE/W/N/S
is the preferred method.
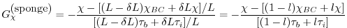
The sponge layer code (turned on with ALLOW_OBCS_SPONGE and
useOBCSsponge) adds a relaxation term to the right-hand-side of
the momentum and tracer equations. The variables are relaxed towards
the boundary values with a relaxation time scale that increases
linearly with distance from the boundary
where
is the model variable (U/V/T/S) in the interior,
the boundary value,
the thickness of the sponge layer
(runtime parameter spongeThickness in number of grid points),
(
) the distance from the boundary (also in grid points), and
(runtime parameters Urelaxobcsbound and
Vrelaxobcsbound) and
(runtime parameters
Urelaxobcsinner and Vrelaxobcsinner) the relaxation time
scales on the boundary and at the interior termination of the sponge
layer. The parameters Urelaxobcsbound/inner set the relaxation
time scales for the Eastern and Western boundaries,
Vrelaxobcsbound/inner for the Northern and Southern boundaries.
6.3.1.6 Flow chart
C !CALLING SEQUENCE:
c ...
6.3.1.7 OBCS diagnostics
Diagnostics output is available via the diagnostics package
(see Section 7.1).
Available output fields are summarized in
Table 6.3.1.7.
Table 6.4:
 |
In the directory verifcation, the following experiments use
obcs:
- exp4: box with 4 open boundaries, simulating flow over a
Gaussian bump based on Adcroft et al. [1997], also tests
Stevens-boundary conditions;
- dome: based on the project ``Dynamics of Overflow Mixing
and Entrainment''
(http://www.rsmas.miami.edu/personal/tamay/DOME/dome.html), uses
Orlanski-BCs;
- internal_wave: uses a heavily modified S/R OBCS_CALC
- seaice_obcs: simple example who to use the sea-ice
related code, based on lab_sea;
- tutorial_plume_on_slope: uses Orlanski-BCs, see also
section 3.16.
6.3.1.10 Experiments and tutorials that use obcs
- tutorial_plume_on_slope (section 3.16)
Next: 6.3.2 RBCS Package
Up: 6.3 General purpose numerical
Previous: 6.3 General purpose numerical
Contents
mitgcm-support@mitgcm.org
| Copyright © 2006
Massachusetts Institute of Technology |
Last update 2018-01-18 |
 |
|