|
|
|
|
Next: 6.4.3 GGL90: a TKE
Up: 6.4 Ocean Packages
Previous: 6.4.1 GMREDI: Gent-McWilliams/Redi SGS
Contents
Subsections
Authors: Dimitris Menemenlis and Patrick Heimbach
6.4.2.1 Introduction
The nonlocal K-Profile Parameterization (KPP) scheme
of Large et al. [1994] unifies the treatment of a variety of
unresolved processes involved in vertical mixing.
To consider it as one mixing scheme is, in the view of the authors,
somewhat misleading since it consists of several entities
to deal with distinct mixing processes in the ocean's surface
boundary layer, and the interior:
- mixing in the interior is goverened by
shear instability (modeled as function of the local gradient
Richardson number), internal wave activity (assumed constant),
and double-diffusion (not implemented here).
- a boundary layer depth
or hbl is determined
at each grid point, based on a critical value of turbulent
processes parameterized by a bulk Richardson number;
- mixing is strongly enhanced in the boundary layer under the
stabilizing or destabilizing influence of surface forcing
(buoyancy and momentum) enabling boundary layer properties
to penetrate well into the thermocline;
mixing is represented through a polynomial profile whose
coefficients are determined subject to several contraints;
- the boundary-layer profile is made to agree with similarity
theory of turbulence and is matched, in the asymptotic sense
(function and derivative agree at the boundary),
to the interior thus fixing the polynomial coefficients;
matching allows for some fraction of the boundary layer mixing
to affect the interior, and vice versa;
- a ``non-local'' term
or ghat
which is independent of the vertical property gradient further
enhances mixing where the water column is unstable
The scheme has been extensively compared to observations
(see e.g. Large et al. [1997]) and is now coomon in many
ocean models.
The current code originates in the NCAR NCOM 1-D code
and was kindly provided by Bill Large and Jan Morzel.
It has been adapted first to the MITgcm vector code and
subsequently to the current parallel code.
Adjustment were mainly in conjunction with WRAPPER requirements
(domain decomposition and threading capability), to enable
automatic differentiation of tangent linear and adjoint code
via TAMC.
The following sections will describe the KPP package
configuration and compiling (6.4.2.2),
the settings and choices of runtime parameters
(6.4.2.3),
more detailed description of equations to which these
parameters relate (6.4.2.4),
and key subroutines where they are used (6.4.2.5),
and diagnostics output of KPP-derived diffusivities, viscosities
and boundary-layer/mixed-layer depths
(6.4.2.6).
6.4.2.2 KPP configuration and compiling
As with all MITgcm packages, KPP can be turned on or off at compile time
- using the packages.conf file by adding kpp to it,
- or using genmake2 adding
-enable=kpp or -disable=kpp switches
- Required packages and CPP options:
No additional packages are required, but the MITgcm kernel flag
enabling the penetration of shortwave radiation below
the surface layer needs to be set in CPP_OPTIONS.h
as follows:
#define SHORTWAVE_HEATING
(see Section 3.4).
Parts of the KPP code can be enabled or disabled at compile time
via CPP preprocessor flags. These options are set in
KPP_OPTIONS.h. Table 6.4.2.2 summarizes them.
Table 6.6:
|
CPP option |
Description |
|
_KPP_RL |
|
|
FRUGAL_KPP |
|
|
KPP_SMOOTH_SHSQ |
|
|
KPP_SMOOTH_DVSQ |
|
|
KPP_SMOOTH_DENS |
|
|
KPP_SMOOTH_VISC |
|
|
KPP_SMOOTH_DIFF |
|
|
KPP_ESTIMATE_UREF |
|
|
INCLUDE_DIAGNOSTICS_INTERFACE_CODE |
|
|
KPP_GHAT |
|
|
EXCLUDE_KPP_SHEAR_MIX |
|
|
6.4.2.3 Run-time parameters
Run-time parameters are set in files
data.pkg and data.kpp
which are read in kpp_readparms.F.
Run-time parameters may be broken into 3 categories:
(i) switching on/off the package at runtime,
(ii) required MITgcm flags,
(iii) package flags and parameters.
The KPP package is switched on at runtime by setting
useKPP = .TRUE. in data.pkg.
The following flags/parameters of the MITgcm dynamical
kernel need to be set in conjunction with KPP:
| implicitViscosity = .TRUE. |
enable implicit vertical viscosity |
| implicitDiffusion = .TRUE. |
enable implicit vertical diffusion |
Table 6.4.2.3 summarizes the
runtime flags that are set in data.pkg, and
their default values.
Table 6.7:
|
Flag/parameter |
default |
Description |
|
I/O related parameters |
|
kpp_freq |
deltaTClock |
Recomputation frequency for KPP fields |
|
kpp_dumpFreq |
dumpFreq |
Dump frequency of KPP field snapshots |
|
kpp_taveFreq |
taveFreq |
Averaging and dump frequency of KPP fields |
|
KPPmixingMaps |
.FALSE. |
include KPP diagnostic maps in STDOUT |
|
KPPwriteState |
.FALSE. |
write KPP state to file |
|
KPP_ghatUseTotalDiffus |
.FALSE. |
if .T. compute non-local term using total vertical diffusivity |
|
|
|
if .F. use KPP vertical diffusivity |
|
Genral KPP parameters |
|
minKPPhbl |
delRc(1) |
Minimum boundary layer depth |
|
epsilon |
0.1 |
nondimensional extent of the surface layer |
|
vonk |
0.4 |
von Karman constant |
|
dB_dz |
5.2E-5 1/s
|
maximum dB/dz in mixed layer hMix |
|
concs |
98.96 |
|
|
concv |
1.8 |
|
|
Boundary layer parameters (S/R bldepth) |
|
Ricr |
0.3 |
critical bulk Richardson number |
|
cekman |
0.7 |
coefficient for Ekman depth |
|
cmonob |
1.0 |
coefficient for Monin-Obukhov depth |
|
concv |
1.8 |
ratio of interior to entrainment depth buoyancy frequency |
|
hbf |
1.0 |
fraction of depth to which absorbed solar radiation contributes |
|
|
|
to surface buoyancy forcing |
|
Vtc |
|
non-dim. coeff. for velocity scale of turbulant velocity shear |
|
|
|
( = function of concv,concs,epsilon,vonk,Ricr) |
|
Boundary layer mixing parameters (S/R blmix) |
|
cstar |
10. |
proportionality coefficient for nonlocal transport |
|
cg |
|
non-dimensional coefficient for counter-gradient term |
|
|
|
( = function of cstar,vonk,concs,epsilon) |
|
Interior mixing parameters (S/R Ri_iwmix) |
|
Riinfty |
0.7 |
gradient Richardson number limit for shear instability |
|
BVDQcon |
-0.2E-4 1/s
|
Brunt-Väisalä squared |
|
difm0 |
0.005 m
/s |
viscosity max. due to shear instability |
|
difs0 |
0.005 m
/s |
tracer diffusivity max. due to shear instability |
|
dift0 |
0.005 m
/s |
heat diffusivity max. due to shear instability |
|
difmcon |
0.1 |
viscosity due to convective instability |
|
difscon |
0.1 |
tracer diffusivity due to convective instability |
|
diftcon |
0.1 |
heat diffusivity due to convective instability |
|
Double-diffusive mixing parameters (S/R ddmix) |
|
Rrho0 |
not used |
limit for double diffusive density ratio |
|
dsfmax |
not used |
maximum diffusivity in case of salt fingering |
|
6.4.2.4 Equations and key routines
We restrict ourselves to writing out only the essential equations
that relate to main processes and parameters mentioned above.
We closely follow the notation of Large et al. [1994].
Top-level routine.
Intermediate-level routine
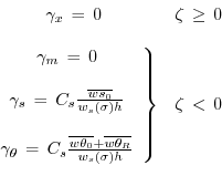
The vertical fluxes
of momentum and tracer properties
is composed of a gradient-flux term (proportional to
the vertical property divergence
), and
a ``nonlocal'' term
that enhances the
gradient-flux mixing coefficient
 |
(6.23) |
In practice, the routine peforms the following tasks:
- compute velocity scales at hbl
- find the interior viscosities and derivatives at hbl
- compute turbulent velocity scales on the interfaces
- compute the dimensionless shape functions at the interfaces
- compute boundary layer diffusivities at the interfaces
- compute nonlocal transport term
- find diffusivities at kbl-1 grid level
Compute interior viscosity and diffusivity coefficients due to
- shear instability (dependent on a local gradient Richardson number),
- to background internal wave activity, and
- to static instability (local Richardson number
0).
TO BE CONTINUED.
The oceanic planetary boundary layer depth, hbl, is determined as
the shallowest depth where the bulk Richardson number is
equal to the critical value, Ricr.
Bulk Richardson numbers are evaluated by computing velocity and
buoyancy differences between values at zgrid(kl) < 0 and surface
reference values.
In this configuration, the reference values are equal to the
values in the surface layer.
When using a very fine vertical grid, these values should be
computed as the vertical average of velocity and buoyancy from
the surface down to epsilon*zgrid(kl).
When the bulk Richardson number at k exceeds Ricr, hbl is
linearly interpolated between grid levels zgrid(k) and zgrid(k-1).
The water column and the surface forcing are diagnosed for
stable/ustable forcing conditions, and where hbl is relative
to grid points (caseA), so that conditional branches can be
avoided in later subroutines.
TO BE CONTINUED.
Add contribution to net diffusivity/viscosity from
KPP diffusivity/viscosity.
TO BE CONTINUED.
Add non local KPP transport term (ghat) to diffusive
temperature/salinity/passive tracer flux.
The nonlocal transport term is nonzero only for scalars
in unstable (convective) forcing conditions.
TO BE CONTINUED.
TO BE CONTINUED.
TO BE CONTINUED.
6.4.2.5 Flow chart
C !CALLING SEQUENCE:
c ...
c kpp_calc (TOP LEVEL ROUTINE)
c |
c |-- statekpp: o compute all EOS/density-related arrays
c | o uses S/R FIND_ALPHA, FIND_BETA, FIND_RHO
c |
c |-- kppmix
c | |--- ri_iwmix (compute interior mixing coefficients due to constant
c | | internal wave activity, static instability,
c | | and local shear instability).
c | |
c | |--- bldepth (diagnose boundary layer depth)
c | |
c | |--- blmix (compute boundary layer diffusivities)
c | |
c | |--- enhance (enhance diffusivity at interface kbl - 1)
c | o
c |
c |-- swfrac
c o
6.4.2.6 KPP diagnostics
Diagnostics output is available via the diagnostics package
(see Section 7.1).
Available output fields are summarized here:
------------------------------------------------------
<-Name->|Levs|grid|<-- Units -->|<- Tile (max=80c)
------------------------------------------------------
KPPviscA| 23 |SM |m^2/s |KPP vertical eddy viscosity coefficient
KPPdiffS| 23 |SM |m^2/s |Vertical diffusion coefficient for salt & tracers
KPPdiffT| 23 |SM |m^2/s |Vertical diffusion coefficient for heat
KPPghat | 23 |SM |s/m^2 |Nonlocal transport coefficient
KPPhbl | 1 |SM |m |KPP boundary layer depth, bulk Ri criterion
KPPmld | 1 |SM |m |Mixed layer depth, dT=.8degC density criterion
KPPfrac | 1 |SM | |Short-wave flux fraction penetrating mixing layer
lab_sea:
natl_box:
6.4.2.9 Experiments and tutorials that use kpp
- Labrador Sea experiment, in lab_sea verification directory
Next: 6.4.3 GGL90: a TKE
Up: 6.4 Ocean Packages
Previous: 6.4.1 GMREDI: Gent-McWilliams/Redi SGS
Contents
mitgcm-support@mitgcm.org
| Copyright © 2006
Massachusetts Institute of Technology |
Last update 2018-01-18 |
 |
|