Next: 6.6.2 SEAICE Package
Up: 6.6 Sea Ice Packages
Previous: 6.6 Sea Ice Packages
Contents
Subsections
6.6.1 THSICE: The Thermodynamic Sea Ice Package
Important note:
This document has been written by Stephanie Dutkiewicz
and describes an earlier implementation of the sea-ice package.
This needs to be updated to reflect the recent changes (JMC).
This thermodynamic ice model is based on the 3-layer model by Winton (2000).
and the energy-conserving LANL CICE model (Bitz and Lipscomb, 1999).
The model considers two equally thick ice layers; the upper layer has
a variable specific heat resulting from brine pockets,
the lower layer has a fixed heat capacity. A zero heat capacity snow
layer lies above the ice. Heat fluxes at the top and bottom
surfaces are used to calculate the change in ice and snow layer
thickness. Grid cells of the ocean model are
either fully covered in ice or are open water. There is
a provision to parametrize ice fraction (and leads) in this package.
Modifications are discussed in small font following the
subroutine descriptions.
The ice model is called from thermodynamics.F, subroutine
ice_forcing.F is called in place of external_forcing_surf.F.
subroutine ICE_FORCING
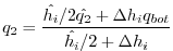
In ice_forcing.F, we calculate the freezing potential of the
ocean model surface layer of water:
where
is seawater heat capacity,
is the seawater density,
is the ocean model upper layer thickness and
is the model (tracer)
timestep. The freezing temperature,
is a function of the
salinity.
1) Provided there is no ice present and frzmlt is less than 0,
the surface tendencies of wind, heat and freshwater are calculated
as usual (ie. as in external_forcing_surf.F).
2) If there is ice present in the grid cell
we call the main ice model routine ice_therm.F (see below).
Output from this routine gives net heat and freshwater flux
affecting the top of the ocean.
Subroutine ice_forcing.F uses these values to find the
sea surface tendencies
in grid cells. When there is ice present,
the surface stress tendencies are
set to zero; the ice model is purely thermodynamic and the
effect of ice motion on the sea-surface is not examined.
Relaxation of surface
and
is only allowed equatorward
of relaxlat (see DATA.ICE below), and no relaxation is
allowed under the ice at any latitude.
(Note that there is provision for allowing grid cells to have both
open water and seaice; if compact is between 0 and 1)
subroutine ICE_FREEZE
This routine is called from thermodynamics.F
after the new temperature calculation, calc_gt.F,
but before calc_gs.F.
In ice_freeze.F, any ocean upper layer grid cell
with no ice cover, but with temperature below freezing,
has ice initialized.
We calculate frzmlt from all the grid cells in
the water column that have a temperature less than
freezing. In this routine, any water below the surface
that is below freezing is set to
.
A call to
ice_start.F is made if frzmlt
,
and salinity tendancy is updated for brine release.
(There is a provision for fractional ice:
In the case where the grid cell has less ice coverage than
icemaskmax we allow ice_start.F to be called).
subroutine ICE_START
The energy available from freezing
the sea surface is brought into this routine as esurp.
The enthalpy of the 2 layers of any new ice is calculated as:
where
is specific heat of liquid fresh water,
is the
specific heat of fresh ice,
is latent heat of freezing,
is density of ice and
is melting temperature of ice with salinity of 1.
The height of a new layer of ice is
where
.
The surface skin temperature
and ice temperatures
,
and the sea surface temperature are set at
.
( There is provision for fractional ice:
new ice is formed over open water; the first freezing in the cell
must have a height of himin0; this determines the ice
fraction compact. If there is already ice in the grid cell,
the new ice must have the same height and the new ice fraction
is
where
is ice fraction from previous timestep
and
is current ice height. Snow is redistributed
over the new ice fraction. The ice fraction is
not allowed to become larger than iceMaskmax and
if the ice height is above hihig then freezing energy
comes from the full grid cell, ice growth does not occur
under orginal ice due to freezing water.
subroutine ICE_THERM
The main subroutine of this package is ice_therm.F where the
ice temperatures are calculated and the changes in ice and snow
thicknesses are determined. Output provides the net heat and fresh
water fluxes that force the top layer of the ocean model.
If the current ice height is less than himin then
the ice layer is set to zero and the ocean model upper layer temperature
is allowed to drop lower than its freezing temperature; and atmospheric
fluxes are allowed to effect the grid cell.
If the ice height is greater than himin we proceed with
the ice model calculation.
We follow the procedure
of Winton (1999) - see equations 3 to 21 - to calculate
the surface and internal ice temperatures.
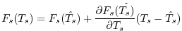
The surface temperature is found from the balance of the
flux at the surface
, the shortwave heat flux absorbed by the ice,
fswint, and
the upward conduction of heat through the snow and/or ice,
.
We linearize
about the surface temperature,
,
at the previous timestep (where
indicates the value at
the previous timestep):
where,
and
and
are currently calculated from the BULKF
package described separately, but could also be provided by an atmospheric
model. The surface albedo is calculated from the ice height and/or
surface temperature (see below, srf_albedo.F) and the
shortwave flux absorbed in the ice is
where
is bulk extinction coefficient.
The conductive flux to the surface is
where
is the effective conductive coupling of the snow-ice
layer between the surface and the mid-point of the upper layer of ice
.
and
are constant thermal conductivities of seaice and snow.
From the above equations we can develop a system of equations to
find the skin surface temperature,
and the two ice layer
temperatures (see Winton, 1999, for details). We solve these
equations iteratively until the change in
is small.
When the surface temperature is greater then
the melting temperature of the surface, the temperatures are
recalculated setting
to 0. The enthalpy
of the ice layers are calculated in order to keep track of the energy in the
ice model. Enthalpy is defined, here, as the energy required to melt a
unit mass of seaice with temperature
.
For the upper layer (1) with brine pockets and
the lower fresh layer (2):
where
is specific heat of liquid fresh water,
is the
specific heat of fresh ice, and
is latent heat of melting fresh ice.
From the new ice temperatures, we can calculate
the energy flux at the surface available for melting (if
=0)
and the energy at the ocean-ice interface for either melting or freezing.
where
is the heat flux at the ice bottom due to the sea surface
temperature variations from freezing.
If
is above freezing,
,
is the heat transfer coefficient
and
is frictional velocity between ice
and water. If
is below freezing,
and set
to
. We also
include the energy from lower layers that drop below freezing,
and set those layers to
.
If
we melt snow from the surface, if all the snow is melted
and there is energy left, we melt the ice. If the ice is all gone
and there is still energy left, we apply the left over energy to
heating the ocean model upper layer (See Winton, 1999, equations 27-29).
Similarly if
we melt ice from the bottom. If all the ice
is melted, the snow is melted (with energy from the ocean model upper layer
if necessary). If
we grow ice at the bottom
where
is the enthalpy of the new ice,
The enthalpy of the second ice layer,
needs to be modified:
If there is a ice layer and the overlying air temperature is
below 0
C then any precipitation,
joins the snow layer:
and
are the fresh water and snow densities.
Any evaporation, similarly, removes snow or ice from the surface.
We also calculate the snow age here, in case it is needed for
the surface albedo calculation (see srf_albedo.F below).
For practical reasons we limit the ice growth to hilim
and snow is limited to hslim. We converts any
ice and/or snow above these limits back to water, maintaining the salt
balance. Note however, that heat is not conserved in this
conversion; sea surface temperatures below the ice are not
recalculated.
If the snow/ice interface is below the waterline, snow is converted
to ice (see Winton, 1999, equations 35 and 36). The subroutine
new_layers_winton.F, described below, repartitions the ice into
equal thickness layers while conserving energy.
The subroutine ice_therm.F now calculates the heat and fresh
water fluxes affecting the ocean model surface layer. The heat flux:
is composed of the shortwave flux that has passed through the
ice layer and is absorbed by the water, fswocn
,
the ocean flux to the ice
,
and the surplus energy left over from the melting, esurp.
The fresh water flux is determined from the amount of
fresh water and salt in the ice/snow system before and after the
timestep.
(There is a provision for fractional ice:
If ice height is above hihig then all energy from freezing at
sea surface is used only in the open water aparts of the cell (ie.
will only have the conduction term).
The melt energy is partitioned by frac_energy between melting
ice height and ice extent. However, once ice height drops below
himon0 then all energy melts ice extent.
subroutine SFC_ALBEDO
The routine ice_therm.F calls this routine to determine
the surface albedo. There are two calculations provided here:
1) from LANL CICE model
where
is 1 if there is snow, 0 if not; the snow albedo,
has two values
depending on whether
or not;
and
are ice albedos for thin melting ice, and
thick bare ice respectively, and
is a scale
height.
2) From GISS model (Hansen et al 1983)
where
is a constant albedo for bare ice,
is a scale height and
is a variable snow albedo.
where
is a constant,
depends on
,
is the snow age, and
is a scale frequency.
The snow age is calculated in ice_therm.F and is given
in equation 41 in Hansen et al (1983).
subroutine NEW_LAYERS_WINTON
The subroutine
new_layers_winton.F repartitions the ice into
equal thickness layers while conserving energy. We pass
to this subroutine, the ice layer enthalpies after
melting/growth and the new height of the ice layers.
The ending layer height should be half the sum of the
new ice heights from ice_therm.F. The enthalpies
of the ice layers are adjusted accordingly to maintain
total energy in the ice model. If layer 2 height is
greater than layer 1 height then layer 2 gives ice to
layer 1 and:
where
is the fraction of the new to old upper layer heights.
will therefore also have changed.
Similarly for when ice layer height 2 is less than
layer 1 height, except here we need to to be careful
that the new
does not fall below the melting temperature.
Initializing subroutines
ice_init.F:
Set ice variables to zero, or reads in pickup information
from pickup.ic (which was written out in checkpoint.F)
ice_readparms.F:
Reads data.ice
Diagnostic subroutines
ice_ave.F:
Keeps track of means of the ice variables
ice_diags.F:
Finds averages and writes out diagnostics
Common Blocks
ICE.h: Ice Varibles, also
relaxlat and startIceModel
ICE_DIAGS.h: matrices for diagnostics: averages of fields
from ice_diags.F
BULKF_ICE_CONSTANTS.h (in BULKF package):
all the parameters need by the ice model
Input file DATA.ICE
Here we need to set StartIceModel: which is 1 if the
model starts from no ice; and 0 if there is a pickup file
with the ice matrices (pickup.ic) which is read
in ice_init.F and written out in checkpoint.F.
The parameter relaxlat defines the latitude poleward
of which there is no relaxing of surface
or
to
observations. This avoids the relaxation forcing the ice
model at these high latitudes.
(Note: hicemin is set to 0 here. If the
provision for allowing grid cells to have both
open water and seaice is ever implemented, this would
be greater than 0)
1) heat fluxes have different signs in the ocean and ice
models.
2) StartIceModel must be changed in data.ice:
1 (if starting from no ice), 0 (if using pickup.ic file).
6.6.1.3 THSICE Diagnostics
------------------------------------------------------------------------
<-Name->|Levs|<-parsing code->|<-- Units -->|<- Tile (max=80c)
------------------------------------------------------------------------
SI_Fract| 1 |SM P M1 |0-1 |Sea-Ice fraction [0-1]
SI_Thick| 1 |SM PC197M1 |m |Sea-Ice thickness (area weighted average)
SI_SnowH| 1 |SM PC197M1 |m |Snow thickness over Sea-Ice (area weighted)
SI_Tsrf | 1 |SM C197M1 |degC |Surface Temperature over Sea-Ice (area weighted)
SI_Tice1| 1 |SM C197M1 |degC |Sea-Ice Temperature, 1srt layer (area weighted)
SI_Tice2| 1 |SM C197M1 |degC |Sea-Ice Temperature, 2nd layer (area weighted)
SI_Qice1| 1 |SM C198M1 |J/kg |Sea-Ice enthalpy, 1srt layer (mass weighted)
SI_Qice2| 1 |SM C198M1 |J/kg |Sea-Ice enthalpy, 2nd layer (mass weighted)
SIalbedo| 1 |SM PC197M1 |0-1 |Sea-Ice Albedo [0-1] (area weighted average)
SIsnwAge| 1 |SM P M1 |s |snow age over Sea-Ice
SIsnwPrc| 1 |SM C197M1 |kg/m^2/s |snow precip. (+=dw) over Sea-Ice (area weighted)
SIflxAtm| 1 |SM M1 |W/m^2 |net heat flux from the Atmosphere (+=dw)
SIfrwAtm| 1 |SM M1 |kg/m^2/s |fresh-water flux to the Atmosphere (+=up)
SIflx2oc| 1 |SM M1 |W/m^2 |heat flux out of the ocean (+=up)
SIfrw2oc| 1 |SM M1 |m/s |fresh-water flux out of the ocean (+=up)
SIsaltFx| 1 |SM M1 |psu.kg/m^2 |salt flux out of the ocean (+=up)
SItOcMxL| 1 |SM M1 |degC |ocean mixed layer temperature
SIsOcMxL| 1 |SM P M1 |psu |ocean mixed layer salinity
References
Bitz, C.M. and W.H. Lipscombe, 1999: An Energy-Conserving
Thermodynamic Model of Sea Ice.
Journal of Geophysical Research, 104, 15,669 - 15,677.
Hansen, J., G. Russell, D. Rind, P. Stone, A. Lacis, S. Lebedeff,
R. Ruedy and L.Travis, 1983: Efficient Three-Dimensional
Global Models for Climate Studies: Models I and II.
Monthly Weather Review, 111, 609 - 662.
Hunke, E.C and W.H. Lipscomb, circa 2001: CICE: the Los Alamos
Sea Ice Model Documentation and Software User's Manual.
LACC-98-16v.2.
(note: this documentation is no longer available as CICE has progressed
to a very different version 3)
Winton, M, 2000: A reformulated Three-layer Sea Ice Model.
Journal of Atmospheric and Ocean Technology, 17, 525 - 531.
6.6.1.4 Experiments and tutorials that use thsice
- Global atmosphere experiment in aim.5l_cs verification directory, input from input.thsice directory.
- Global ocean experiment in global_ocean.cs32x15 verification directory, input from input.thsice directory.
Next: 6.6.2 SEAICE Package
Up: 6.6 Sea Ice Packages
Previous: 6.6 Sea Ice Packages
Contents
mitgcm-support@mitgcm.org
| Copyright © 2006
Massachusetts Institute of Technology |
Last update 2018-01-19 |
 |
|