|
|
|
|
Next: 6.6.3 SHELFICE Package
Up: 6.6 Sea Ice Packages
Previous: 6.6.1 THSICE: The Thermodynamic
Contents
Subsections
6.6.2 SEAICE Package
Authors: Martin Losch, Dimitris Menemenlis, An Nguyen, Jean-Michel Campin,
Patrick Heimbach, Chris Hill and Jinlun Zhang
6.6.2.1 Introduction
Package ``seaice'' provides a dynamic and thermodynamic interactive
sea-ice model.
CPP options enable or disable different aspects of the package
(Section 6.6.2.2).
Run-Time options, flags, filenames and field-related dates/times are
set in data.seaice
(Section 6.6.2.3).
A description of key subroutines is given in Section
6.6.2.5.
Input fields, units and sign conventions are summarized in
Section 6.6.2.3, and available diagnostics
output is listed in Section 6.6.2.6.
6.6.2.2.1 Compile-time options
As with all MITgcm packages, SEAICE can be turned on or off at compile time
- using the packages.conf file by adding seaice to it,
- or using genmake2 adding
-enable=seaice or -disable=seaice switches
- required packages and CPP options:
SEAICE requires the external forcing package exf to be enabled;
no additional CPP options are required.
(see Section 3.4).
Parts of the SEAICE code can be enabled or disabled at compile time
via CPP preprocessor flags. These options are set in
SEAICE_OPTIONS.h.
Table 6.6.2.2 summarizes the most important ones. For
more options see the default pkg/seaice/SEAICE_OPTIONS.h.
Table 6.18:
Some of the most relevant CPP preprocessor flags in the
seaice-package.
|
CPP option |
Description |
|
SEAICE_DEBUG |
Enhance STDOUT for debugging |
|
SEAICE_ALLOW_DYNAMICS |
sea-ice dynamics code |
|
SEAICE_CGRID |
LSR solver on C-grid (rather than original B-grid) |
|
SEAICE_ALLOW_EVP |
enable use of EVP rheology solver |
|
SEAICE_ALLOW_JFNK |
enable use of JFNK rheology solver |
|
SEAICE_EXTERNAL_FLUXES |
use EXF-computed fluxes as starting point |
|
SEAICE_ZETA_SMOOTHREG |
use differentialable regularization for viscosities |
|
SEAICE_VARIABLE_FREEZING_POINT |
enable linear dependence of the freezing point on salinity
(by default undefined) |
|
ALLOW_SEAICE_FLOODING |
enable snow to ice conversion for submerged sea-ice |
|
SEAICE_VARIABLE_SALINITY |
enable sea-ice with variable salinity (by default undefined) |
|
SEAICE_SITRACER |
enable sea-ice tracer package (by default undefined) |
|
SEAICE_BICE_STRESS |
B-grid only for backward compatiblity: turn on ice-stress on
ocean |
|
EXPLICIT_SSH_SLOPE |
B-grid only for backward compatiblity: use ETAN for tilt
computations rather than geostrophic velocities |
|
6.6.2.3 Run-time parameters
Run-time parameters (see Table 6.19) are set
in files data.pkg (read in packages_readparms.F), and
data.seaice (read in seaice_readparms.F).
A package is switched on/off at run-time by setting
(e.g. for SEAICE) useSEAICE = .TRUE. in data.pkg.
Table 6.19 lists most run-time parameters.
Table 6.19:
Run-time parameters and default values
|
|
|
|
|
|
Name |
Default value
|
Description |
Reference |
|
|
|
|
|
|
SEAICEwriteState |
T
|
write sea ice state to file
|
|
|
SEAICEuseDYNAMICS |
T
|
use dynamics
|
|
|
SEAICEuseJFNK |
F
|
use the JFNK-solver
|
|
|
SEAICEuseTEM |
F
|
use truncated ellipse method
|
|
|
SEAICEuseStrImpCpl |
F
|
use strength implicit coupling in LSR/JFNK
|
|
|
SEAICEuseMetricTerms |
T
|
use metric terms in dynamics
|
|
|
SEAICEuseEVPpickup |
T
|
use EVP pickups
|
|
|
SEAICEuseFluxForm |
F
|
use flux form for 2nd central difference advection scheme
|
|
|
SEAICErestoreUnderIce |
F
|
enable restoring to climatology under ice
|
|
|
useHB87stressCoupling |
F
|
turn on ice-ocean stress coupling following Hibler and Bryan [1987]
|
|
|
usePW79thermodynamics |
T
|
flag to turn off zero-layer-thermodynamics for testing
|
|
|
SEAICEadvHeff/Area/Snow/Salt |
T
|
flag to turn off advection of scalar state variables
|
|
|
SEAICEuseFlooding |
T
|
use flood-freeze algorithm
|
|
|
SEAICE_no_slip |
F
|
switch between free-slip and no-slip boundary conditions
|
|
|
SEAICE_deltaTtherm |
dTracerLev(1)
|
thermodynamic timestep
|
|
|
SEAICE_deltaTdyn |
dTracerLev(1)
|
dynamic timestep
|
|
|
SEAICE_deltaTevp |
0
|
EVP sub-cycling time step, values
0 turn on EVP
|
|
|
SEAICEuseEVPstar |
F |
use modified EVP* instead of EVP |
|
|
SEAICEuseEVPrev |
F |
use yet another variation on EVP* |
|
|
SEAICEnEVPstarSteps |
UNSET |
number of modified EVP* iteration |
|
|
SEAICE_evpAlpha |
UNSET |
EVP* parameter |
|
|
SEAICE_evpBeta |
UNSET |
EVP* parameter |
|
|
SEAICEaEVPcoeff |
UNSET |
aEVP parameter |
|
|
SEAICEaEVPcStar |
4 |
aEVP parameter |
[Kimmritz et al., 2016]
|
|
SEAICEaEVPalphaMin |
5 |
aEVP parameter |
[Kimmritz et al., 2016]
|
|
SEAICE_elasticParm |
|
EVP paramter
|
|
|
SEAICE_evpTauRelax |
|
relaxation time scale
for EVP waves |
|
|
SEAICEnewtonIterMax |
10
|
maximum number of JFNK-Newton iterations
|
|
|
SEAICEkrylovIterMax |
10
|
maximum number of JFNK-Krylov iterations
|
|
|
SEAICE_JFNK_lsIter |
(off)
|
start line search after ``lsIter'' Newton iterations
|
|
|
JFNKgamma_nonlin |
1.0E-05
|
non-linear tolerance parameter for JFNK solver
|
|
|
JFNKgamma_lin_min/max |
0.10/0.99
|
tolerance parameters for linear JFNK solver
|
|
|
JFNKres_tFac |
UNSET
|
tolerance parameter for FGMRES residual
|
|
|
SEAICE_JFNKepsilon |
1.0E-06
|
step size for the FD-Jacobian-times-vector
|
|
|
SEAICE_dumpFreq |
dumpFreq
|
dump frequency
|
|
|
SEAICE_taveFreq |
taveFreq
|
time-averaging frequency
|
|
|
SEAICE_dump_mdsio |
T
|
write snap-shot using MDSIO
|
|
|
SEAICE_tave_mdsio |
T
|
write TimeAverage using MDSIO
|
|
|
SEAICE_dump_mnc |
F
|
write snap-shot using MNC
|
|
|
SEAICE_tave_mnc |
F
|
write TimeAverage using MNC
|
|
|
SEAICE_initialHEFF |
0.00000E+00
|
initial sea-ice thickness
|
|
|
SEAICE_drag |
2.00000E-03
|
air-ice drag coefficient
|
|
|
OCEAN_drag |
1.00000E-03
|
air-ocean drag coefficient
|
|
|
SEAICE_waterDrag |
5.50000E+00
|
water-ice drag
|
|
|
SEAICE_dryIceAlb |
7.50000E-01
|
winter albedo
|
|
|
SEAICE_wetIceAlb |
6.60000E-01
|
summer albedo
|
|
|
SEAICE_drySnowAlb |
8.40000E-01
|
dry snow albedo
|
|
|
SEAICE_wetSnowAlb |
7.00000E-01
|
wet snow albedo
|
|
|
SEAICE_waterAlbedo |
1.00000E-01
|
water albedo
|
|
|
SEAICE_strength |
2.75000E+04
|
sea-ice strength
|
|
|
SEAICE_cStar |
20.0000E+00
|
sea-ice strength paramter
|
|
|
SEAICE_rhoAir |
1.3 (or exf value)
|
density of air (kg/m
)
|
|
|
SEAICE_cpAir |
1004 (or exf value)
|
specific heat of air (J/kg/K)
|
|
|
SEAICE_lhEvap |
2,500,000 (or exf value)
|
latent heat of evaporation |
|
|
SEAICE_lhFusion |
334,000 (or exf value)
|
latent heat of fusion |
|
|
SEAICE_lhSublim |
2,834,000
|
latent heat of sublimation |
|
|
SEAICE_dalton |
1.75E-03
|
sensible heat transfer coefficient
|
|
|
SEAICE_iceConduct |
2.16560E+00
|
sea-ice conductivity
|
|
|
SEAICE_snowConduct |
3.10000E-01
|
snow conductivity
|
|
|
SEAICE_emissivity |
5.50000E-08
|
Stefan-Boltzman
|
|
|
SEAICE_snowThick |
1.50000E-01
|
cutoff snow thickness
|
|
|
SEAICE_shortwave |
3.00000E-01
|
penetration shortwave radiation
|
|
|
SEAICE_freeze |
-1.96000E+00
|
freezing temp. of sea water
|
|
|
SEAICE_saltFrac |
0.0
|
salinity newly formed ice (fraction of ocean surface salinity)
|
|
|
SEAICE_frazilFrac |
0.0
|
Fraction of surface level negative heat content anomalies
(relative to the local freezing point)
|
|
|
SEAICEstressFactor |
1.00000E+00
|
scaling factor for ice-ocean stress
|
|
|
Heff/Area/HsnowFile/Hsalt |
UNSET
|
initial fields for variables HEFF/AREA/HSNOW/HSALT
|
|
|
LSR_ERROR |
1.00000E-04
|
sets accuracy of LSR solver
|
|
|
DIFF1 |
0.0
|
parameter used in advect.F
|
|
|
HO |
5.00000E-01
|
demarcation ice thickness (AKA lead closing paramter
)
|
|
|
MAX_HEFF |
1.00000E+01
|
maximum ice thickness
|
|
|
MIN_ATEMP |
-5.00000E+01
|
minimum air temperature
|
|
|
MIN_LWDOWN |
6.00000E+01
|
minimum downward longwave
|
|
|
MAX_TICE |
3.00000E+01
|
maximum ice temperature
|
|
|
MIN_TICE |
-5.00000E+01
|
minimum ice temperature
|
|
|
IMAX_TICE |
10
|
iterations for ice heat budget
|
|
|
SEAICE_EPS |
1.00000E-10
|
reduce derivative singularities
|
|
|
SEAICE_area_reg |
1.00000E-5
|
minimum concentration to regularize ice thickness
|
|
|
SEAICE_hice_reg |
0.05 m
|
minimum ice thickness for regularization
|
|
|
SEAICE_multDim |
1
|
number of ice categories for thermodynamics
|
|
|
SEAICE_useMultDimSnow |
F
|
use SEAICE_multDim snow categories
|
|
6.6.2.3.3 Input fields and units
- HeffFile:
- Initial sea ice thickness averaged over grid cell
in meters; initializes variable HEFF;
- AreaFile:
- Initial fractional sea ice cover, range
;
initializes variable AREA;
- HsnowFile:
- Initial snow thickness on sea ice averaged
over grid cell in meters; initializes variable HSNOW;
- HsaltFile:
- Initial salinity of sea ice averaged over grid
cell in g/m
; initializes variable HSALT;
6.6.2.4 Description
[TO BE CONTINUED/MODIFIED]
The MITgcm sea ice model (MITgcm/sim) is based on a variant of the
viscous-plastic (VP) dynamic-thermodynamic sea ice model [Zhang and Hibler, 1997]
first introduced by Hibler [1980,1979]. In order to adapt this model
to the requirements of coupled ice-ocean state estimation, many
important aspects of the original code have been modified and
improved [Losch et al., 2010]:
- the code has been rewritten for an Arakawa C-grid, both B- and
C-grid variants are available; the C-grid code allows for no-slip
and free-slip lateral boundary conditions;
- three different solution methods for solving the nonlinear
momentum equations have been adopted: LSOR [Zhang and Hibler, 1997], EVP
[Hunke and Dukowicz, 1997], JFNK [Losch et al., 2014; Lemieux et al., 2010];
- ice-ocean stress can be formulated as in Hibler and Bryan [1987] or as in
Campin et al. [2008];
- ice variables are advected by sophisticated, conservative
advection schemes with flux limiting;
- growth and melt parameterizations have been refined and extended
in order to allow for more stable automatic differentiation of the code.
The sea ice model is tightly coupled to the ocean compontent of the
MITgcm. Heat, fresh water fluxes and surface stresses are computed
from the atmospheric state and - by default - modified by the ice
model at every time step.
The ice dynamics models that are most widely used for large-scale
climate studies are the viscous-plastic (VP) model [Hibler, 1979], the
cavitating fluid (CF) model [Flato and Hibler, 1992], and the
elastic-viscous-plastic (EVP) model [Hunke and Dukowicz, 1997]. Compared to the VP
model, the CF model does not allow ice shear in calculating ice
motion, stress, and deformation. EVP models approximate VP by adding
an elastic term to the equations for easier adaptation to parallel
computers. Because of its higher accuracy in plastic solution and
relatively simpler formulation, compared to the EVP model, we decided
to use the VP model as the default dynamic component of our ice
model. To do this we extended the line successive over relaxation
(LSOR) method of Zhang and Hibler [1997] for use in a parallel
configuration. An EVP model and a free-drift implemtation can be
selected with runtime flags.
6.6.2.4.1 Compatibility with ice-thermodynamics package thsice
Note, that by default the seaice-package includes the orginial
so-called zero-layer thermodynamics following Hibler [1980] with a
snow cover as in Zhang et al. [1998]. The zero-layer thermodynamic model
assumes that ice does not store heat and, therefore, tends to
exaggerate the seasonal variability in ice thickness. This
exaggeration can be significantly reduced by using
Semtner's [1976] three-layer thermodynamic
model that permits heat storage in ice. Recently, the three-layer thermodynamic model has been reformulated by
Winton [2000]. The reformulation improves model physics by
representing the brine content of the upper ice with a variable heat
capacity. It also improves model numerics and consumes less computer
time and memory.
The Winton sea-ice thermodynamics have been ported to the MIT GCM;
they currently reside under pkg/thsice. The package
thsice is described in section 6.6.1; it is
fully compatible with the packages seaice and exf. When
turned on together with seaice, the zero-layer thermodynamics
are replaced by the Winton thermodynamics. In order to use the
seaice-package with the thermodynamics of thsice,
compile both packages and turn both package on in data.pkg; see
an example in global_ocean.cs32x15/input.icedyn. Note, that
once thsice is turned on, the variables and diagnostics
associated to the default thermodynamics are meaningless, and the
diagnostics of thsice have to be used instead.
6.6.2.4.2 Surface forcing
The sea ice model requires the following input fields: 10-m winds, 2-m
air temperature and specific humidity, downward longwave and shortwave
radiations, precipitation, evaporation, and river and glacier runoff.
The sea ice model also requires surface temperature from the ocean
model and the top level horizontal velocity. Output fields are
surface wind stress, evaporation minus precipitation minus runoff, net
surface heat flux, and net shortwave flux. The sea-ice model is
global: in ice-free regions bulk formulae are used to estimate oceanic
forcing from the atmospheric fields.
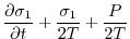
6.6.2.4.3 Dynamics
The momentum equation of the sea-ice model is
 |
(6.39) |
where
is the ice and snow mass per unit area;
is the ice velocity vector;
,
, and
are unit vectors in the
,
, and
directions, respectively;
is the Coriolis parameter;
and
are the wind-ice and ocean-ice stresses,
respectively;
is the gravity accelation;
is the gradient (or tilt) of the sea surface height;
is the sea surface
height potential in response to ocean dynamics (
), to
atmospheric pressure loading (
, where
is a
reference density) and a term due to snow and ice loading [Campin et al., 2008];
and
is the divergence of the internal ice
stress tensor
. Advection of sea-ice momentum is neglected. The wind and ice-ocean stress
terms are given by
where
are the surface winds of the atmosphere
and surface currents of the ocean, respectively;
are
air and ocean drag coefficients;
are reference
densities; and
are rotation matrices that act on the
wind/current vectors.
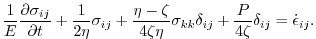
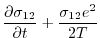
6.6.2.4.4 Viscous-Plastic (VP) Rheology
For an isotropic system the stress tensor
(
) can
be related to the ice strain rate and strength by a nonlinear
viscous-plastic (VP) constitutive law [Hibler, 1979; Zhang and Hibler, 1997]:
![$\displaystyle \sigma_{ij}=2\eta(\dot{\epsilon}_{ij},P)\dot{\epsilon}_{ij} + \le...
...epsilon}_{ij},P)\right]\dot{\epsilon}_{kk}\delta_{ij} - \frac{P}{2}\delta_{ij}.$](img2728.png) |
(6.40) |
The ice strain rate is given by
The maximum ice pressure
, a measure of ice strength, depends on
both thickness
and compactness (concentration)
:
 |
(6.41) |
with the constants
(run-time parameter SEAICE_strength) and
. The nonlinear bulk and shear
viscosities
and
are functions of ice strain rate
invariants and ice strength such that the principal components of the
stress lie on an elliptical yield curve with the ratio of major to
minor axis
equal to
; they are given by:
The bulk viscosities are bounded above by imposing both a minimum
(for numerical reasons, run-time parameter
SEAICE_EPS with a default value of
s
) and a maximum
, where
s
. (There is also
the option of bounding
from below by setting run-time
parameter SEAICE_zetaMin
, but this is generally not
recommended). For stress tensor computation the replacement pressure
[Hibler and Ip, 1995] is used so that the stress state
always lies on the elliptic yield curve by definition.
Defining the CPP-flag SEAICE_ZETA_SMOOTHREG in
SEAICE_OPTIONS.h before compiling replaces the method for
bounding
by a smooth (differentiable) expression:
 |
(6.42) |
where
s
is chosen to avoid divisions
by zero.
6.6.2.4.5 LSR and JFNK solver
In the matrix notation, the discretized momentum equations can be
written as
 |
(6.43) |
The solution vector
consists of the two velocity components
and
that contain the velocity variables at all grid points and
at one time level. The standard (and default) method for solving
Eq.(6.43) in the sea ice component of the
MITgcm, as in many sea ice models, is an iterative Picard
solver: in the
-th iteration a linearized form
is
solved (in the case of the MITgcm it is a Line Successive (over)
Relaxation (LSR) algorithm [Zhang and Hibler, 1997]). Picard solvers converge
slowly, but generally the iteration is terminated after only a few
non-linear steps [Lemieux and Tremblay, 2009; Zhang and Hibler, 1997] and the calculation
continues with the next time level. This method is the default method
in the MITgcm. The number of non-linear iteration steps or pseudo-time
steps can be controlled by the runtime parameter
NPSEUDOTIMESTEPS (default is 2).
In order to overcome the poor convergence of the Picard-solver,
Lemieux et al. [2010] introduced a Jacobian-free Newton-Krylov solver for
the sea ice momentum equations. This solver is also implemented in the
MITgcm [Losch et al., 2014]. The Newton method transforms minimizing
the residual
to finding the roots of a multivariate Taylor
expansion of the residual
around the previous (
) estimate
:
 |
(6.44) |
with the Jacobian
. The root
is found by solving
 |
(6.45) |
for
. The next (
-th) estimate is given by
. In order to avoid
overshoots the factor
is iteratively reduced in a line search
(
) until
, where
is the
-norm. In practice, the line
search is stopped at
. The line search starts after
non-linear Newton iterations (off by
default).
Forming the Jacobian
explicitly is often avoided as ``too
error prone and time consuming'' [Knoll and Keyes, 2004]. Instead,
Krylov methods only require the action of
on an arbitrary
vector
and hence allow a matrix free algorithm for solving
Eq.(6.45) [Knoll and Keyes, 2004]. The action of
can be approximated by a first-order Taylor series expansion:
 |
(6.46) |
or computed exactly with the help of automatic differentiation (AD)
tools. SEAICE_JFNKepsilon sets the step size
.
We use the Flexible Generalized Minimum RESidual method
[FGMRES, Saad, 1993] with right-hand side preconditioning
to solve Eq.(6.45) iteratively starting from a first
guess of
. For the preconditioning matrix
we choose a simplified form of the system matrix
[Lemieux et al., 2010] where
is
the estimate of the previous Newton step
. The transformed
equation(6.45) becomes
with |
(6.47) |
The Krylov method iteratively improves the approximate solution
to (6.47) in subspace (
,
,
,
...,
) with increasing
;
is the initial residual of
(6.45);
with the first
guess
. We allow a Krylov-subspace of
dimension
and we do not use restarts. The preconditioning operation
involves applying
to the basis vectors
of the Krylov subspace. This
operation is approximated by solving the linear system
. Because
, we can use the LSR-algorithm [Zhang and Hibler, 1997]
already implemented in the Picard solver. Each preconditioning
operation uses a fixed number of 10 LSR-iterations avoiding any
termination criterion. More details and results can be found in
Losch et al. [2014]; Lemieux et al. [2010].
To use the JFNK-solver set SEAICEuseJFNK = .TRUE. in the
namelist file data.seaice; SEAICE_ALLOW_JFNK needs to
be defined in SEAICE_OPTIONS.h and we recommend using a smooth
regularization of
by defining SEAICE_ZETA_SMOOTHREG
(see above) for better convergence. The non-linear Newton iteration
is terminated when the
-norm of the residual is reduced by
(runtime parameter JFNKgamma_nonlin =
1.e-4 will already lead to expensive simulations) with respect to
the initial norm:
. Within a non-linear
iteration, the linear FGMRES solver is terminated when the residual is
smaller than
where
is
determined by
 |
(6.48) |
so that the linear tolerance parameter
decreases with the
non-linear Newton step as the non-linear solution is approached. This
inexact Newton method is generally more robust and computationally
more efficient than exact methods [e.g., Knoll and Keyes, 2004].
Typical parameter choices are
,
, and
with
. We recommend a maximum number of
non-linear iterations
and a maximum
number of Krylov iterations
, because
the Krylov subspace has a fixed dimension of 50.
Setting SEAICEuseStrImpCpl = .TRUE., turns on ``strength
implicit coupling'' [Hutchings et al., 2004] in the LSR-solver and in the
LSR-preconditioner for the JFNK-solver. In this mode, the different
contributions of the stress divergence terms are re-ordered in order
to increase the diagonal dominance of the system
matrix. Unfortunately, the convergence rate of the LSR solver is
increased only slightly, while the JFNK-convergence appears to be
unaffected.
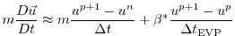
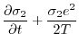
6.6.2.4.6 Elastic-Viscous-Plastic (EVP) Dynamics
Hunke and Dukowicz [1997]'s introduced an elastic contribution to the strain
rate in order to regularize Eq. 6.40 in such a way that
the resulting elastic-viscous-plastic (EVP) and VP models are
identical at steady state,
 |
(6.49) |
The EVP-model uses an explicit time stepping scheme with a short
timestep. According to the recommendation of Hunke and Dukowicz [1997], the
EVP-model should be stepped forward in time 120 times
(
) within
the physical ocean model time step (although this parameter is under
debate), to allow for elastic waves to disappear. Because the scheme
does not require a matrix inversion it is fast in spite of the small
internal timestep and simple to implement on parallel computers
[Hunke and Dukowicz, 1997]. For completeness, we repeat the equations for the
components of the stress tensor
,
, and
. Introducing the divergence
, and the horizontal tension
and shearing strain rates,
and
, respectively, and using the above
abbreviations, the equations 6.49 can be written as:
Here, the elastic parameter
is redefined in terms of a damping
timescale
for elastic waves
with the tunable parameter
and the external
(long) timestep
.
is the default
value in the code and close to what Hunke and Dukowicz [1997] and
Hunke [2001] recommend.
To use the EVP solver, make sure that both SEAICE_CGRID and
SEAICE_ALLOW_EVP are defined in SEAICE_OPTIONS.h
(default). The solver is turned on by setting the sub-cycling time
step SEAICE_deltaTevp to a value larger than zero. The
choice of this time step is under debate. Hunke and Dukowicz [1997] recommend
order(120) time steps for the EVP solver within one model time step
(deltaTmom). One can also choose order(120) time
steps within the forcing time scale, but then we recommend adjusting
the damping time scale
accordingly, by setting either
SEAICE_elasticParm (
), so that
forcing time scale
, or directly
SEAICE_evpTauRelax (
) to the forcing time scale.
6.6.2.4.7 More stable variants of Elastic-Viscous-Plastic Dynamics:
EVP* , mEVP, and aEVP
The genuine EVP schemes appears to give noisy solutions [Bouillon et al., 2013; Lemieux et al., 2012; Hunke, 2001]. This has lead to a modified EVP or EVP*
[Bouillon et al., 2013; Kimmritz et al., 2015; Lemieux et al., 2012]; here, we refer to these
variants by modified EVP (mEVP) and adaptive EVP (aEVP)
[Kimmritz et al., 2016]. The main idea is to modify the ``natural''
time-discretization of the momentum equations:
 |
(6.53) |
where
is the previous time step index, and
is the previous
sub-cycling index. The extra ``intertial'' term
allows the definition of a residual
that, as
, converges to
0
. In this way EVP can be re-interpreted as a pure iterative solver
where the sub-cycling has no association with time-relation (through
) [Bouillon et al., 2013; Kimmritz et al., 2015]. Using the
terminology of Kimmritz et al. [2015], the evolution equations of stress
and momentum
can be written as:
contains all terms in the momentum equations except for the
rheology terms and the time derivative;
and
are free
parameters (SEAICE_evpAlpha, SEAICE_evpBeta) that
replace the time stepping parameters SEAICE_deltaTevp
(
), SEAICE_elasticParm (
), or
SEAICE_evpTauRelax (
).
and
determine the
speed of convergence and the stability. Usually, it makes sense to use
, and SEAICEnEVPstarSteps
[Kimmritz et al., 2015]. Currently, there is no
termination criterion and the number of mEVP iterations is fixed to
SEAICEnEVPstarSteps.
In order to use mEVP in the MITgcm, set SEAICEuseEVPstar =
.TRUE., in data.seaice. If SEAICEuseEVPrev =.TRUE.,
the actual form of equations (6.54) and
(6.55) is used with fewer implicit terms and the factor
of
dropped in the stress equations (6.51)
and (6.52). Although this modifies the original
EVP-equations, it turns out to improve convergence [Bouillon et al., 2013].
Another variant is the aEVP scheme [Kimmritz et al., 2016], where the value
of
is set dynamically based on the stability criterion
 |
(6.56) |
with the grid cell area
and the ice and snow mass
. This
choice sacrifices speed of convergence for stability with the result
that aEVP converges quickly to VP where
can be small and more
slowly in areas where the equations are stiff. In practice, aEVP leads
to an overall better convergence than mEVP [Kimmritz et al., 2016].
To use aEVP in the MITgcm set SEAICEaEVPcoeff
;
this also sets the default values of SEAICEaEVPcStar (
)
and SEAICEaEVPalphaMin (
). Good convergence
has been obtained with setting these values [Kimmritz et al., 2016]:
SEAICEaEVPcoeff = 0.5, SEAICEnEVPstarSteps = 500,
SEAICEuseEVPstar = .TRUE., SEAICEuseEVPrev = .TRUE.
Note, that probably because of the C-grid staggering of velocities and
stresses, mEVP may not converge as successfully as in
Kimmritz et al. [2015], and that convergence at very high resolution
(order 5km) has not been studied yet.
6.6.2.4.8 Truncated ellipse method (TEM) for yield curve
In the so-called truncated ellipse method the shear viscosity
is capped to suppress any tensile stress [Geiger et al., 1998; Hibler and Schulson, 1997]:
 |
(6.57) |
To enable this method, set #define SEAICE_ALLOW_TEM in
SEAICE_OPTIONS.h and turn it on with
SEAICEuseTEM in data.seaice.
6.6.2.4.9 Ice-Ocean stress
Moving sea ice exerts a stress on the ocean which is the opposite of
the stress
in Eq. 6.39. This stess is
applied directly to the surface layer of the ocean model. An
alternative ocean stress formulation is given by Hibler and Bryan [1987].
Rather than applying
directly, the stress is derived
from integrating over the ice thickness to the bottom of the oceanic
surface layer. In the resulting equation for the combined
ocean-ice momentum, the interfacial stress cancels and the total
stress appears as the sum of windstress and divergence of internal ice
stresses:
, [see also
Eq.2 of Hibler and Bryan, 1987]. The disadvantage of this formulation is that
now the velocity in the surface layer of the ocean that is used to
advect tracers, is really an average over the ocean surface
velocity and the ice velocity leading to an inconsistency as the ice
temperature and salinity are different from the oceanic variables.
To turn on the stress formulation of Hibler and Bryan [1987], set
useHB87StressCoupling=.TRUE. in data.seaice.
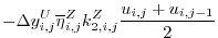
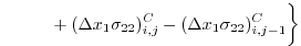
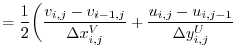
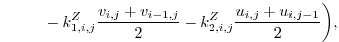
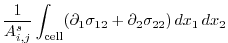
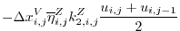
6.6.2.4.10 Finite-volume discretization of the stress tensor
divergence
On an Arakawa C grid, ice thickness and concentration and thus ice
strength
and bulk and shear viscosities
and
are
naturally defined a C-points in the center of the grid
cell. Discretization requires only averaging of
and
to
vorticity or Z-points (or
-points, but here we use Z in order
avoid confusion with the bulk viscosity) at the bottom left corner of
the cell to give
and
. In
the following, the superscripts indicate location at Z or C points,
distance across the cell (F), along the cell edge (G), between
-points (U),
-points (V), and C-points (C). The control volumes
of the
- and
-equations in the grid cell at indices
are
and
, respectively. With these definitions
(which follow the model code documentation except that
-points
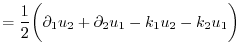
have been renamed to Z-points), the strain rates are discretized as:
so that the diagonal terms of the strain rate tensor are naturally
defined at C-points and the symmetric off-diagonal term at
Z-points. No-slip boundary conditions (
and
across boundaries) are implemented via
``ghost-points''; for free slip boundary conditions
on boundaries.
For a spherical polar grid, the coefficients of the metric terms are
and
, with the spherical radius
and
the latitude
;
, and
. For a
general orthogonal curvilinear grid,
and
can be approximated by finite differences of the cell widths:
 |
 |
(6.61) |
 |
 |
(6.62) |
 |
 |
(6.63) |
 |
 |
(6.64) |
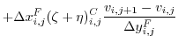
The stress tensor is given by the constitutive viscous-plastic
relation
[Hibler, 1979]. The stress tensor divergence
, is
discretized in finite volumes [see
also Losch et al., 2010]. This conveniently avoids dealing with
further metric terms, as these are ``hidden'' in the differential cell
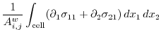
widths. For the
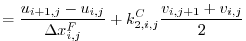
-equation (
) we have:
with
Similarly, we have for the
-equation (
):
with
Again, no slip boundary conditions are realized via ghost points and
and
across boundaries. For
free slip boundary conditions the lateral stress is set to zeros. In
analogy to
on boundaries, we set
, or equivalently
, on boundaries.
6.6.2.4.11 Thermodynamics
NOTE: THIS SECTION IS TERRIBLY OUT OF DATE
In its original formulation the sea ice model [Menemenlis et al., 2005]
uses simple thermodynamics following the appendix of
Semtner [1976]. This formulation does not allow storage of heat,
that is, the heat capacity of ice is zero. Upward conductive heat flux
is parameterized assuming a linear temperature profile and together
with a constant ice conductivity. It is expressed as
, where
is the ice conductivity,
the ice
thickness, and
the difference between water and ice
surface temperatures. This type of model is often refered to as a
``zero-layer'' model. The surface heat flux is computed in a similar
way to that of Parkinson and Washington [1979] and Manabe et al. [1979].
The conductive heat flux depends strongly on the ice thickness
.
However, the ice thickness in the model represents a mean over a
potentially very heterogeneous thickness distribution. In order to
parameterize a sub-grid scale distribution for heat flux computations,
the mean ice thickness
is split into
thickness categories
that are equally distributed between
and a minimum
imposed ice thickness of
cm
by
for
. The heat fluxes computed for each thickness category
is area-averaged to give the total heat flux [Hibler, 1984]. To use
this thickness category parameterization set SEAICE_multDim to
the number of desired categories (7 is a good guess, for anything
larger than 7 modify SEAICE_SIZE.h) in
data.seaice; note that this requires different restart files
and switching this flag on in the middle of an integration is not
advised. In order to include the same distribution for snow, set
SEAICE_useMultDimSnow = .TRUE.; only then, the
parameterization of always having a fraction of thin ice is efficient
and generally thicker ice is produced [Castro-Morales et al., 2014].
The atmospheric heat flux is balanced by an oceanic heat flux from
below. The oceanic flux is proportional to
where
and
are
the density and heat capacity of sea water and
is the local
freezing point temperature that is a function of salinity. This flux
is not assumed to instantaneously melt or create ice, but a time scale
of three days (run-time parameter SEAICE_gamma_t) is used
to relax
to the freezing point.
The parameterization of lateral and vertical growth of sea ice follows
that of Hibler [1980,1979]; the so-called lead closing parameter
(run-time parameter HO) has a default value of
0.5 meters.
On top of the ice there is a layer of snow that modifies the heat flux
and the albedo [Zhang et al., 1998]. Snow modifies the effective
conductivity according to
where
is the conductivity of snow and
the snow thickness.
If enough snow accumulates so that its weight submerges the ice and
the snow is flooded, a simple mass conserving parameterization of
snowice formation (a flood-freeze algorithm following Archimedes'
principle) turns snow into ice until the ice surface is back at
[Leppäranta, 1983]. The flood-freeze algorithm is enabled with the CPP-flag
SEAICE_ALLOW_FLOODING and turned on with run-time parameter
SEAICEuseFlooding=.true..
6.6.2.4.12 Advection of thermodynamic variables
Effective ice thickness (ice volume per unit area,
), concentration
and effective snow thickness
(
) are advected by ice velocities:
 |
(6.70) |
where
are the thermodynamic source terms and
the
diffusive terms for quantities
.
From the various advection scheme that are available in the MITgcm, we
recommend flux-limited schemes [multidimensional 2nd and
3rd-order advection scheme with flux limiter Hundsdorfer and Trompert, 1994; Roe, 1985]
to preserve sharp gradients and edges that are typical of sea ice
distributions and to rule out unphysical over- and undershoots
(negative thickness or concentration). These schemes conserve volume
and horizontal area and are unconditionally stable, so that we can set
. Run-timeflags: SEAICEadvScheme (default=2, is the
historic 2nd-order, centered difference scheme), DIFF1 =
(default=0.004).
The MITgcm sea ice model provides the option to use
the thermodynamics model of Winton [2000], which in turn is based on
the 3-layer model of Semtner [1976] and which treats brine content by
means of enthalpy conservation; the corresponding package
thsice is described in section 6.6.1. This
scheme requires additional state variables, namely the enthalpy of the
two ice layers (instead of effective ice salinity), to be advected by
ice velocities.
The internal sea ice temperature is inferred from ice enthalpy. To
avoid unphysical (negative) values for ice thickness and
concentration, a positive 2nd-order advection scheme with a SuperBee
flux limiter [Roe, 1985] should be used to advect all
sea-ice-related quantities of the Winton [2000] thermodynamic model
(runtime flag thSIceAdvScheme=77 and
thSIce_diffK=
=0 in data.ice, defaults are 0). Because of the
non-linearity of the advection scheme, care must be taken in advecting
these quantities: when simply using ice velocity to advect enthalpy,
the total energy (i.e., the volume integral of enthalpy) is not
conserved. Alternatively, one can advect the energy content (i.e.,
product of ice-volume and enthalpy) but then false enthalpy extrema
can occur, which then leads to unrealistic ice temperature. In the
currently implemented solution, the sea-ice mass flux is used to
advect the enthalpy in order to ensure conservation of enthalpy and to
prevent false enthalpy extrema.
6.6.2.5 Key subroutines
Top-level routine: seaice_model.F
C !CALLING SEQUENCE:
c ...
c seaice_model (TOP LEVEL ROUTINE)
c |
c |-- #ifdef SEAICE_CGRID
c | SEAICE_DYNSOLVER
c | |
c | |-- < compute proxy for geostrophic velocity >
c | |
c | |-- < set up mass per unit area and Coriolis terms >
c | |
c | |-- < dynamic masking of areas with no ice >
c | |
c | |
c | #ELSE
c | DYNSOLVER
c | #ENDIF
c |
c |-- if ( useOBCS )
c | OBCS_APPLY_UVICE
c |
c |-- if ( SEAICEadvHeff .OR. SEAICEadvArea .OR. SEAICEadvSnow .OR. SEAICEadvSalt )
c | SEAICE_ADVDIFF
c |
c |-- if ( usePW79thermodynamics )
c | SEAICE_GROWTH
c |
c |-- if ( useOBCS )
c | if ( SEAICEadvHeff ) OBCS_APPLY_HEFF
c | if ( SEAICEadvArea ) OBCS_APPLY_AREA
c | if ( SEAICEadvSALT ) OBCS_APPLY_HSALT
c | if ( SEAICEadvSNOW ) OBCS_APPLY_HSNOW
c |
c |-- < do various exchanges >
c |
c |-- < do additional diagnostics >
c |
c o
6.6.2.6 SEAICE diagnostics
Diagnostics output is available via the diagnostics package
(see Section 7.1).
Available output fields are summarized in
Table 6.6.2.6.
Table 6.20:
Available diagnostics of the seaice-package
 |
6.6.2.7 Experiments and tutorials that use seaice
- Labrador Sea experiment in lab_sea verification directory.
- seaice_obcs, based on lab_sea
- offline_exf_seaice/input.seaicetd, based on lab_sea
- global_ocean.cs32x15/input.icedyn and
global_ocean.cs32x15/input.seaice, global
cubed-sphere-experiment with combinations of seaice and
thsice
Next: 6.6.3 SHELFICE Package
Up: 6.6 Sea Ice Packages
Previous: 6.6.1 THSICE: The Thermodynamic
Contents
mitgcm-support@mitgcm.org
| Copyright © 2006
Massachusetts Institute of Technology |
Last update 2018-01-20 |
 |
|