|
|
|
|
Next: 8. Ocean State Estimation
Up: 7.7 Potential vorticity Matlab
Previous: 7.7.4 Technical details
Contents
Subsections
7.7.5 Notes on the flux form of the PV equation and vertical PV fluxes
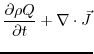
The conservative flux form of the potential vorticity equation is:
 |
 |
0 |
(7.11) |
where the potential vorticity
is given by the Eq.7.3.
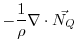
The generalized flux vector of potential vorticity is:
which allows to rewrite Eq.7.11 as:
where the nonadvective PV flux
is given by:
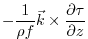
Its first component is linked to the buoyancy forcing7.1:
and the second one to the nonconservative body forces per unit mass:
In the context of mode water study, we're particularly interested in how the PV may be
reduced by surface PV fluxes because a mode water is characterised by a low PV level.
Considering the volume limited by two
, PV
flux is limited to surface processes and then vertical component of
. It is
supposed that
and
will only be nonzero in the mixed layer (of depth
and
variable density
) exposed to mechanical forcing by the wind and buoyancy fluxes
through the ocean's surface.
Given the assumption of a mechanical forcing confined to a thin surface Ekman layer (of
depth
, eventually computed by the package) and of hydrostatic and geostrophic
balances, we can write:
where:
is the full velocity field composed by the geostrophic current
and the Ekman
drift:
(where
is the wind stress) and last by other ageostrophic components of
which are neglected.
Partitioning the buoyancy forcing as:
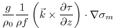
and using Eq.7.21 and Eq.7.22, the Eq.7.20 becomes:
revealing the "wind-driven buoyancy forcing":
Note that since:
must be uniform throughout the depth of the mixed layer and then being related to
the surface buoyancy flux by integrating Eq.7.23 through the mixed layer:
where
is the vertically integrated surface buoyancy (in)flux:
with
the thermal expansion coefficient (computed
by the package otherwise),
the specific heat of seawater,
the net heat surface flux (positive downward, warming the ocean),
the saline contraction coefficient, and
the net freshwater surface flux with
the surface salinity and
the fresh water flux.
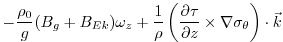
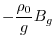
Introducing the body force in the Ekman layer:
the vertical component of Eq.7.14 is:
and given the assumption that
, the second term vanishes and we obtain:
Note that the wind-stress forcing does not appear explicitly here but is implicit in
through Eq.7.27: the buoyancy forcing
is determined by the
difference between the integrated surface buoyancy flux
and the
integrated "wind-driven buoyancy forcing":
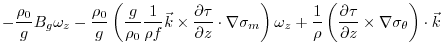
Finally, from Eq.7.14, the vertical surface flux of PV may be written as:
Next: 8. Ocean State Estimation
Up: 7.7 Potential vorticity Matlab
Previous: 7.7.4 Technical details
Contents
mitgcm-support@mitgcm.org
| Copyright © 2006
Massachusetts Institute of Technology |
Last update 2018-01-20 |
 |
|