|
|
|
|
Next: 1.3.1 Kinematic Boundary conditions
Up: 1. Overview of MITgcm
Previous: 1.2.9 Simulations of laboratory
Contents
To render atmosphere and ocean models from one dynamical core we exploit
`isomorphisms' between equation sets that govern the evolution of the
respective fluids - see figure 1.14.
One system of hydrodynamical equations is written down
and encoded. The model variables have different interpretations depending on
whether the atmosphere or ocean is being studied. Thus, for example, the
vertical coordinate `
' is interpreted as pressure,
, if we are
modeling the atmosphere (right hand side of figure 1.14)
and height,
, if we are modeling the ocean (left hand side of figure
1.14).
Figure 1.14:
Isomorphic equation sets used for atmosphere (right) and
ocean (left).
|
|
The state of the fluid at any time is characterized by the distribution of
velocity
, active tracers
and
, a
`geopotential'
and density
which may
depend on
,
, and
. The equations that govern the evolution
of these fields, obtained by applying the laws of classical mechanics and
thermodynamics to a Boussinesq, Navier-Stokes fluid are, written in terms of
a generic vertical coordinate,
, so that the appropriate
kinematic boundary conditions can be applied isomorphically
see figure 1.15.
Figure 1.15:
Vertical coordinates and kinematic boundary conditions
for atmosphere (top) and ocean (bottom).
|
|
horizontal mtm |
(1.1) |
vertical mtm |
(1.2) |
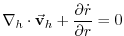
continuity |
(1.3) |
equation of state |
(1.4) |
potential temperature |
(1.5) |
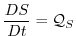
humidity/salinity |
(1.6) |
Here:
is the vertical coordinate |
|
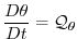
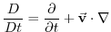
is the total derivative |
|
is the `grad' operator |
|
with
operating in the horizontal and
operating in the vertical, where
is a unit vector in the vertical
is time |
|
is the velocity |
|
is the `pressure'/`geopotential' |
|
is the Earth's rotation |
|
is the `buoyancy' |
|
is potential temperature |
|
is specific humidity in the atmosphere; salinity in the ocean |
|
are forcing and dissipation of  |
|
are forcing and dissipation of  |
|
are forcing and dissipation of  |
|
The
and
are provided by
`physics' and forcing packages for atmosphere and ocean. These are described
in later chapters.
Subsections
Next: 1.3.1 Kinematic Boundary conditions
Up: 1. Overview of MITgcm
Previous: 1.2.9 Simulations of laboratory
Contents
mitgcm-support@mitgcm.org
| Copyright © 2006
Massachusetts Institute of Technology |
Last update 2018-01-23 |
 |
|