Next: 2.17.3 Centered fourth order
Up: 2.17 Linear advection schemes
Previous: 2.17.1 Centered second order
Contents
Upwind biased third order advection offers a relatively good
compromise between accuracy and smoothness. It is not a ``positive''
scheme meaning false extrema are permitted but the amplitude of such
are significantly reduced over the centered second order method.
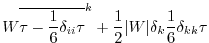
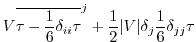
The third order upwind fluxes are discretized:
At boundaries,
is set to zero allowing
to be evaluated. We are currently examine the accuracy
of this boundary condition and the effect on the solution.
mitgcm-support@mitgcm.org
| Copyright © 2006
Massachusetts Institute of Technology |
Last update 2018-01-23 |
 |
|