Next: 2.18 Non-linear advection schemes
Up: 2.17 Linear advection schemes
Previous: 2.17.3 Centered fourth order
Contents
Although the upwind scheme is the underlying scheme for the robust or
non-linear methods given later, we haven't actually supplied this
method for general use. It would be very diffusive and it is unlikely
that it could ever produce more useful results than the positive
higher order schemes.
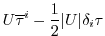
Upwind bias is introduced into many schemes using the abs
function and is allows the first order upwind flux to be written:
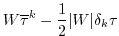
If for some reason, the above method is required, then the second
order flux limiter scheme described later reduces to the above scheme
if the limiter is set to zero.
mitgcm-support@mitgcm.org
| Copyright © 2006
Massachusetts Institute of Technology |
Last update 2018-01-23 |
 |
|