|
|
|
|
Next: 2.21.2 Mercator, Nondimensional Equations
Up: 2.21 Nonlinear Viscosities for
Previous: 2.21 Nonlinear Viscosities for
Contents
Subsections
A turbulent closure provides an approximation to the 'eddy' terms on
the right of the preceding equations. The simplest form of LES is
just to increase the viscosity and diffusivity until the viscous and
diffusive scales are resolved. That is, we approximate:
One way of ensuring that the gridscale is sufficiently viscous
(ie. resolved) is to choose the eddy viscosity
so that
the gridscale horizontal Reynolds number based on this eddy viscosity,
, to is O(1). That is, if the gridscale is to be viscous,
then the viscosity should be chosen to make the viscous terms as large
as the advective ones. Bryan et al Bryan et al. [1975] notes
that a computational mode is squelched by using
2.
MITgcm users can select horizontal eddy viscosities based on
using two methods. 1) The user may estimate the velocity
scale expected from the calculation and grid spacing and set the viscAh to satisfy
. 2) The user may use viscAhReMax, which ensures that the viscosity is always chosen so
that
. This last option should be used
with caution, however, since it effectively implies that viscous terms
are fixed in magnitude relative to advective terms. While it may be a
useful method for specifying a minimum viscosity with little effort,
tests Bryan et al. [1975] have shown that setting viscAhReMax=2
often tends to increase the viscosity substantially over other more
'physical' parameterizations below, especially in regions where
gradients of velocity are small (and thus turbulence may be weak), so
perhaps a more liberal value should be used, eg. viscAhReMax=10.
While it is certainly necessary that viscosity be active at the
gridscale, the wavelength where dissipation of energy or enstrophy
occurs is not necessarily
. In fact, it is by ensuring that
the either the dissipation of energy in a 3-d turbulent cascade
(Smagorinsky) or dissipation of enstrophy in a 2-d turbulent cascade
(Leith) is resolved that these parameterizations derive their physical
meaning.
Vertical eddy viscosities are often chosen in a more subjective way,
as model stability is not usually as sensitive to vertical viscosity.
Usually the 'observed' value from finescale measurements, etc., is
used (eg. viscAr
). However,
Smagorinsky Smagorinsky [1993] notes that the Smagorinsky
parameterization of isotropic turbulence implies a value of the
vertical viscosity as well as the horizontal viscosity (see below).
Some Smagorinsky [1963,1993] suggest choosing a viscosity
that depends on the resolved motions. Thus, the overall
viscous operator has a nonlinear dependence on velocity. Smagorinsky
chose his form of viscosity by considering Kolmogorov's ideas about
the energy spectrum of 3-d isotropic turbulence.
Kolmogorov suppposed that is that energy is injected into the flow at
large scales (small
) and is 'cascaded' or transferred
conservatively by nonlinear processes to smaller and smaller scales
until it is dissipated near the viscous scale. By setting the energy
flux through a particular wavenumber
,
, to be a constant
in
, there is only one combination of viscosity and energy flux
that has the units of length, the Kolmogorov wavelength. It is
(the
stems
from conversion from wavenumber to wavelength). To ensure that this
viscous scale is resolved in a numerical model, the gridscale should
be decreased until
(so-called Direct Numerical
Simulation, or DNS). Alternatively, an eddy viscosity can be used and
the corresponding Kolmogorov length can be made larger than the
gridscale,
(for
Large Eddy Simulation or LES).
There are two methods of ensuring that the Kolmogorov length is
resolved in MITgcm. 1) The user can estimate the flux of energy
through spectral space for a given simulation and adjust grid spacing
or viscAh to ensure that
. 2) The user may
use the approach of Smagorinsky with viscC2Smag, which estimates
the energy flux at every grid point, and adjusts the viscosity
accordingly.
Smagorinsky formed the energy equation from the momentum equations by
dotting them with velocity. There are some complications when using
the hydrostatic approximation as described by Smagorinsky
Smagorinsky [1993]. The positive definite energy dissipation by
horizontal viscosity in a hydrostatic flow is
, where D is
the deformation rate at the viscous scale. According to Kolmogorov's
theory, this should be a good approximation to the energy flux at any
wavenumber
. Kolmogorov and Smagorinsky noted
that using an eddy viscosity that exceeds the molecular value
should ensure that the energy flux through viscous scale set by the
eddy viscosity is the same as it would have been had we resolved all
the way to the true viscous scale. That is,
. If we use this approximation to estimate the
Kolmogorov viscous length, then
 |
(2.208) |
To make
scale with the gridscale, then
 |
(2.209) |
Where the deformation rate appropriate for hydrostatic flows with
shallow-water scaling is
 |
(2.210) |
The coefficient viscC2Smag is what an MITgcm user sets, and it
replaces the proportionality in the Kolmogorov length with an
equality. Others Griffies and Hallberg [2000b] suggest values of viscC2Smag
from 2.2 to 4 for oceanic problems. Smagorinsky Smagorinsky [1993]
shows that values from 0.2 to 0.9 have been used in atmospheric
modeling.
Smagorinsky Smagorinsky [1993] shows that a corresponding vertical
viscosity should be used:
 |
(2.211) |
This vertical viscosity is currently not implemented in MITgcm
(although it may be soon).
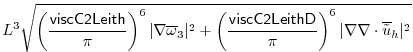
Leith Leith [1968,1996] notes that 2-d turbulence is quite
different from 3-d. In two-dimensional turbulence, energy cascades to
larger scales, so there is no concern about resolving the scales of
energy dissipation. Instead, another quantity, enstrophy, (which is
the vertical component of vorticity squared) is conserved in 2-d
turbulence, and it cascades to smaller scales where it is dissipated.
Following a similar argument to that above about energy flux, the
enstrophy flux is estimated to be equal to the positive-definite
gridscale dissipation rate of enstrophy
. By dimensional analysis, the
enstrophy-dissipation scale is
. Thus, the Leith-estimated length scale
of enstrophy-dissipation and the resulting eddy viscosity are
The argument above for the Leith viscosity parameterization uses
concepts from purely 2-dimensional turbulence, where the horizontal
flow field is assumed to be divergenceless. However, oceanic flows
are only quasi-two dimensional. While the barotropic flow, or the
flow within isopycnal layers may behave nearly as two-dimensional
turbulence, there is a possibility that these flows will be divergent.
In a high-resolution numerical model, these flows may be substantially
divergent near the grid scale, and in fact, numerical instabilities
exist which are only horizontally divergent and have little vertical
vorticity. This causes a difficulty with the Leith viscosity, which
can only responds to buildup of vorticity at the grid scale.
MITgcm offers two options for dealing with this problem. 1) The
Smagorinsky viscosity can be used instead of Leith, or in conjunction
with Leith-a purely divergent flow does cause an increase in
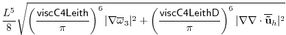
Smagorinsky viscosity. 2) The viscC2LeithD parameter can be
set. This is a damping specifically targeting purely divergent
instabilities near the gridscale. The combined viscosity has the
form:
Whether there is any physical rationale for this correction is unclear
at the moment, but the numerical consequences are good. The
divergence in flows with the grid scale larger or comparable to the
Rossby radius is typically much smaller than the vorticity, so this
adjustment only rarely adjusts the viscosity if
. However, the rare regions where
this viscosity acts are often the locations for the largest vales of
vertical velocity in the domain. Since the CFL condition on vertical
velocity is often what sets the maximum timestep, this viscosity may
substantially increase the allowable timestep without severely
compromising the verity of the simulation. Tests have shown that in
some calculations, a timestep three times larger was allowed when
.
Whatever viscosities are used in the model, the choice is constrained
by gridscale and timestep by the Courant-Freidrichs-Lewy (CFL)
constraint on stability:
The viscosities may be automatically limited to be no greater than
these values in MITgcm by specifying viscAhGridMax
and
viscA4GridMax
. Similarly-scaled minimum values of
viscosities are provided by viscAhGridMin and viscA4GridMin, which if used, should be set to values
.
is roughly the gridscale (see below).
Following Griffies and Hallberg [2000b], we note that there is a factor of
difference between the harmonic and biharmonic viscosities.
Thus, whenever a non-dimensional harmonic coefficient is used in the
MITgcm (eg. viscAhGridMax
), the biharmonic equivalent is
scaled so that the same non-dimensional value can be used (eg. viscA4GridMax
).
Holland [1978] suggested that eddy viscosities ought to be focuses on
the dynamics at the grid scale, as larger motions would be 'resolved'.
To enhance the scale selectivity of the viscous operator, he suggested
a biharmonic eddy viscosity instead of a harmonic (or Laplacian)
viscosity:
Griffies and Hallberg [2000b] propose that if one scales the biharmonic viscosity by
stability considerations, then the biharmonic viscous terms will be
similarly active to harmonic viscous terms at the gridscale of the
model, but much less active on larger scale motions. Similarly, a
biharmonic diffusivity can be used for less diffusive flows.
In practice, biharmonic viscosity and diffusivity allow a less
viscous, yet numerically stable, simulation than harmonic viscosity
and diffusivity. However, there is no physical rationale for such
operators being of leading order, and more boundary conditions must be
specified than for the harmonic operators. If one considers the
approximations of 2.208 and 2.219 to be
terms in the Taylor series expansions of the eddy terms as functions
of the large-scale gradient, then one can argue that both harmonic and
biharmonic terms would occur in the series, and the only question is
the choice of coefficients. Using biharmonic viscosity alone implies
that one zeros the first non-vanishing term in the Taylor series,
which is unsupported by any fluid theory or observation.
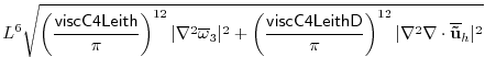
Nonetheless, MITgcm supports a plethora of biharmonic viscosities
and diffusivities, which are controlled with parameters named
similarly to the harmonic viscosities and diffusivities with the
substitution
. MITgcm also supports a biharmonic
Leith and Smagorinsky viscosities:
However, it should be noted that unlike the harmonic forms, the
biharmonic scaling does not easily relate to whether
energy-dissipation or enstrophy-dissipation scales are resolved. If
similar arguments are used to estimate these scales and scale them to
the gridscale, the resulting biharmonic viscosities should be:
Thus, the biharmonic scaling suggested by Griffies and Hallberg [2000b] implies:
It is not at all clear that these assumptions ought to hold. Only the
Griffies and Hallberg [2000b] forms are currently implemented in MITgcm.
Above, the length scale of the grid has been denoted
. However, in
strongly anisotropic grids,
and
will be quite different in
some locations. In that case, the CFL condition suggests that the
minimum of
and
be used. On the other hand, other
viscosities which involve whether a particular wavelength is
'resolved' might be better suited to use the maximum of
and
. Currently, MITgcm uses useAreaViscLength to select
between two options. If false, the geometric mean of
and
is used for all viscosities, which is closer to the minimum
and occurs naturally in the CFL constraint. If useAreaViscLength is true, then the square root of the area of the
grid cell is used.
Next: 2.21.2 Mercator, Nondimensional Equations
Up: 2.21 Nonlinear Viscosities for
Previous: 2.21 Nonlinear Viscosities for
Contents
mitgcm-support@mitgcm.org
| Copyright © 2006
Massachusetts Institute of Technology |
Last update 2010-08-24 |
 |
|