Next: 2. Discretization and Algorithm
Up: 1.6 Appendix:OPERATORS
Previous: 1.6 Appendix:OPERATORS
Contents
Subsections
In spherical coordinates, the velocity components in the zonal, meridional
and vertical direction respectively, are given by (see Fig.2) :
Here
is the latitude,
the longitude,
the radial
distance of the particle from the center of the earth,
is the
angular speed of rotation of the Earth and
is the total derivative.
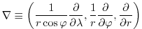
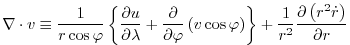
The `grad' (
) and `div' (
) operators are defined by, in
spherical coordinates:
Next: 2. Discretization and Algorithm
Up: 1.6 Appendix:OPERATORS
Previous: 1.6 Appendix:OPERATORS
Contents
mitgcm-support@mitgcm.org
| Copyright © 2006
Massachusetts Institute of Technology |
Last update 2014-09-01 |
 |
|