|
|
|
|
Next: 1.6 Appendix:OPERATORS
Up: 1.5 Appendix OCEAN
Previous: 1.5 Appendix OCEAN
Contents
Subsections
We review here the method by which the standard (Boussinesq, incompressible)
HPE's for the ocean written in z-coordinates are obtained. The
non-Boussinesq equations for oceanic motion are:
 |
 |
 |
(1.64) |
 |
 |
 |
(1.65) |
 |
 |
0 |
(1.66) |
 |
 |
 |
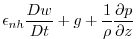
(1.67) |
 |
 |
 |
(1.68) |
 |
 |
 |
(1.69) |
These equations permit acoustics modes, inertia-gravity waves,
non-hydrostatic motions, a geostrophic (Rossby) mode and a thermohaline
mode. As written, they cannot be integrated forward consistently - if we
step
forward in (1.66), the answer will not be
consistent with that obtained by stepping (1.68) and (1.69) and then using (1.67) to yield
. It is
therefore necessary to manipulate the system as follows. Differentiating the
EOS (equation of state) gives:
 |
(1.70) |
Note that
is
the reciprocal of the sound speed (
) squared. Substituting into
1.66 gives:
 |
(1.71) |
where we have used an approximation sign to indicate that we have assumed
adiabatic motion, dropping the
and
.
Replacing 1.66 with 1.71 yields a system that
can be explicitly integrated forward:
 |
 |
 |
(1.72) |
 |
 |
 |
(1.73) |
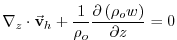
 |
 |
0 |
(1.74) |
 |
 |
 |
(1.75) |
 |
 |
 |
(1.76) |
 |
 |
 |
(1.77) |
Here we linearize the acoustic modes by replacing
with
wherever it appears in a product (ie. non-linear term) - this is the
`Boussinesq assumption'. The only term that then retains the full variation
in
is the gravitational acceleration:
 |
 |
 |
(1.78) |
 |
 |
 |
(1.79) |
 |
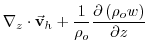
 |
0 |
(1.80) |
 |
 |
 |
(1.81) |
 |
 |
 |
(1.82) |
 |
 |
 |
(1.83) |
These equations still retain acoustic modes. But, because the
``compressible'' terms are linearized, the pressure equation 1.80 can be integrated implicitly with ease (the time-dependent
term appears as a Helmholtz term in the non-hydrostatic pressure equation).
These are the truly compressible Boussinesq equations. Note that the
EOS must have the same pressure dependency as the linearized pressure term,
ie.
, for consistency.
The anelastic approximation filters the acoustic mode by removing the
time-dependency in the continuity (now pressure-) equation (1.80
). This could be done simply by noting that
, but this leads to an inconsistency between
continuity and EOS. A better solution is to change the dependency on
pressure in the EOS by splitting the pressure into a reference function of
height and a perturbation:
Remembering that the term
in continuity comes from
differentiating the EOS, the continuity equation then becomes:
If the time- and space-scales of the motions of interest are longer than
those of acoustic modes, then
in the continuity equations and
in the EOS (1.70). Thus we set
, removing the dependency on
in the continuity equation
and EOS. Expanding
then leads to the
anelastic continuity equation:
 |
(1.84) |
A slightly different route leads to the quasi-Boussinesq continuity equation
where we use the scaling
yielding:
 |
(1.85) |
Equations 1.84 and 1.85 are in fact the same
equation if:
 |
(1.86) |
Again, note that if
is evaluated from prescribed
and
profiles, then the EOS dependency on
and the term
in continuity should be referred to those same profiles. The
full set of `quasi-Boussinesq' or `anelastic' equations for the ocean are
then:
 |
 |
 |
(1.87) |
 |
 |
 |
(1.88) |
 |
 |
0 |
(1.89) |
 |
 |
 |
(1.90) |
 |
 |
 |
(1.91) |
 |
 |
 |
(1.92) |
Here, the objective is to drop the depth dependence of
and so,
technically, to also remove the dependence of
on
. This would
yield the ``truly'' incompressible Boussinesq equations:
 |
 |
 |
(1.93) |
 |
 |
 |
(1.94) |
 |
 |
0 |
(1.95) |
 |
 |
 |
(1.96) |
 |
 |
 |
(1.97) |
 |
 |
 |
(1.98) |
where
is a constant reference density of water.
The above ``incompressible'' equations are incompressible in both the flow
and the density. In many oceanic applications, however, it is important to
retain compressibility effects in the density. To do this we must split the
density thus:
We then assert that variations with depth of
are unimportant
while the compressible effects in
are:
This then yields what we can call the semi-compressible Boussinesq
equations:
 |
 |
 |
(1.99) |
 |
 |
 |
(1.100) |
 |
 |
0 |
(1.101) |
 |
 |
 |
(1.102) |
 |
 |
 |
(1.103) |
 |
 |
 |
(1.104) |
Note that the hydrostatic pressure of the resting fluid, including that
associated with
, is subtracted out since it has no effect on the
dynamics.
Though necessary, the assumptions that go into these equations are messy
since we essentially assume a different EOS for the reference density and
the perturbation density. Nevertheless, it is the hydrostatic (
form of these equations that are used throughout the ocean modeling
community and referred to as the primitive equations (HPE).
Next: 1.6 Appendix:OPERATORS
Up: 1.5 Appendix OCEAN
Previous: 1.5 Appendix OCEAN
Contents
mitgcm-support@mitgcm.org
| Copyright © 2006
Massachusetts Institute of Technology |
Last update 2018-01-22 |
 |
|