|
|
|
|
Next: 7.7.3 Key routines
Up: 7.7 Potential vorticity Matlab
Previous: 7.7.1 Introduction
Contents
Subsections
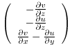
The package computes the three components of the relative vorticity defined by:
where we omitted (like all across the package) the vertical velocity component.
The package then computes the potential vorticity as:
where
is the density,
is the potential density (both eventually
computed by the package) and
is the Coriolis parameter.
The package is also able to compute the simpler planetary vorticity as:
These quantities are useful in mode water studies because of the impermeability theorem
which states that for a given potential density layer (embedding a mode water), the
integrated PV only changes through surface input/output.
Vertical PV fluxes due to frictional and diabatic processes are given by:
These components can be computed with the package. Details on the variables definition and
the way these fluxes are derived can be found in section
7.7.5.
We now give some simple explanations about these fluxes and how they can reduce the PV
level of an oceanic potential density layer.
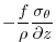
Let's take the PV flux due to surface buoyancy forcing from Eq.7.5 and
simplify it as:
When the net surface heat flux
is upward i.e. negative and cooling the ocean
(buoyancy loss), surface density will increase, triggering mixing which reduces the
stratification and then the PV.
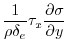
Now let's take the PV flux due to the "wind-driven buoyancy flux" from
Eq.7.6 and simplify it as:
When the wind is blowing from the east above the Gulf Stream (a region of high meridional
density gradient), it induces an advection of dense water from the northern side of the GS
to the southern side through Ekman currents. Then, it induces a "wind-driven" buoyancy
lost and mixing which reduces the stratification and the PV.
A recent debate in the community arose about the relative role of these processes. Taking
the ratio of Eq.7.5 and Eq.7.6 leads to:
where appears the lateral heat flux induced by Ekman currents:
which can be computed with the package. In the aim of comparing both processes, it will be
useful to plot surface net and lateral Ekman-induced heat fluxes together with PV fluxes.
Next: 7.7.3 Key routines
Up: 7.7 Potential vorticity Matlab
Previous: 7.7.1 Introduction
Contents
mitgcm-support@mitgcm.org
| Copyright © 2006
Massachusetts Institute of Technology |
Last update 2018-01-22 |
 |
|