Quick Links
About Release1
Install: Getting started
Downloading
Building the code
Running the code
Tutorials
Barotropic gyre
Baroclinic gyre
Global ocean
Open ocean convection
Gravity plume
Held-Saurez atmosphere
Documentation
Continuous formulation
Numerical discretization
Vector invariant equations
2.16 Linear advection schemes> Linear advection Schemes
2.17 Non-linear advection schemes> Non-linear advection Schemes
About
Installation
Tutorials
Documentation
1.1 Introduction
1.3 Continuous equations in `r' coordinates
2. Discretization and Algorithm
4. Software Architecture
5. Automatic Differentiation
6. Physical Parameterization and Packages
7. Diagnostics and tools
8. Interface with ECCO
Browse Code
 
PDF file (9Mb)
PS file (7Mb)
Next:
2.15.3 Coriolis terms
Up:
2.15 Vector invariant momentum
Previous:
2.15.1 Relative vorticity
Contents
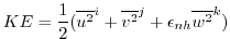
2.15.2 Kinetic energy
The kinetic energy, denoted
, is defined:
(2.146)
mitgcm-support@mitgcm.org
Copyright © 2006 Massachusetts Institute of Technology
Last update 2018-01-23