Next: 2.15.4 Shear terms
Up: 2.15 Vector invariant momentum
Previous: 2.15.2 Kinetic energy
Contents
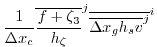
The potential enstrophy conserving form of the linear Coriolis terms
are written:
Here, the Coriolis parameter
is defined at vorticity (corner)
points.
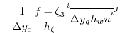
The potential enstrophy conserving form of the non-linear Coriolis
terms are written:
The Coriolis terms can also be evaluated together and expressed in
terms of absolute vorticity
. The potential enstrophy
conserving form using the absolute vorticity is written:
The
distinction between using absolute vorticity or relative vorticity is
useful when constructing higher order advection schemes; monotone
advection of relative vorticity behaves differently to monotone
advection of absolute vorticity. Currently the choice of
relative/absolute vorticity, centered/upwind/high order advection is
available only through commented subroutine calls.
Next: 2.15.4 Shear terms
Up: 2.15 Vector invariant momentum
Previous: 2.15.2 Kinetic energy
Contents
mitgcm-support@mitgcm.org
| Copyright © 2006
Massachusetts Institute of Technology |
Last update 2018-01-23 |
 |
|