|
|
|
|
Next: 6.6.3 SHELFICE Package
Up: 6.6 Sea Ice Packages
Previous: 6.6.1 THSICE: The Thermodynamic
Contents
Subsections
6.6.2 SEAICE Package
Authors: Martin Losch, Dimitris Menemenlis, An Nguyen, Jean-Michel Campin,
Patrick Heimbach, Chris Hill and Jinlun Zhang
6.6.2.1 Introduction
Package ``seaice'' provides a dynamic and thermodynamic interactive
sea-ice model.
CPP options enable or disable different aspects of the package
(Section 6.6.2.2).
Run-Time options, flags, filenames and field-related dates/times are
set in data.seaice
(Section 6.6.2.3).
A description of key subroutines is given in Section
6.6.2.5.
Input fields, units and sign conventions are summarized in
Section 6.6.2.3, and available diagnostics
output is listed in Section 6.6.2.6.
6.6.2.2.1 Compile-time options
As with all MITgcm packages, SEAICE can be turned on or off at compile time
- using the packages.conf file by adding seaice to it,
- or using genmake2 adding
-enable=seaice or -disable=seaice switches
- required packages and CPP options:
SEAICE requires the external forcing package exf to be enabled;
no additional CPP options are required.
(see Section 3.4).
Parts of the SEAICE code can be enabled or disabled at compile time
via CPP preprocessor flags. These options are set in either
SEAICE_OPTIONS.h or in ECCO_CPPOPTIONS.h.
Table 6.6.2.2 summarizes these options.
Table 6.15:
|
CPP option |
Description |
|
SEAICE_DEBUG |
Enhance STDOUT for debugging |
|
SEAICE_ALLOW_DYNAMICS |
sea-ice dynamics code |
|
SEAICE_CGRID |
LSR solver on C-grid (rather than original B-grid) |
|
SEAICE_ALLOW_EVP |
use EVP rather than LSR rheology solver |
|
SEAICE_EXTERNAL_FLUXES |
use EXF-computed fluxes as starting point |
|
SEAICE_MULTICATEGORY |
enable 8-category thermodynamics (by default undefined) |
|
SEAICE_VARIABLE_FREEZING_POINT |
enable linear dependence of the freezing point on salinity
(by default undefined) |
|
ALLOW_SEAICE_FLOODING |
enable snow to ice conversion for submerged sea-ice |
|
SEAICE_SALINITY |
enable "salty" sea-ice (by default undefined) |
|
SEAICE_AGE |
enable "age tracer" sea-ice (by default undefined) |
|
SEAICE_CAP_HEFF |
enable capping of sea-ice thickness to MAX_HEFF |
|
SEAICE_BICE_STRESS |
B-grid only for backward compatiblity: turn on ice-stress on
ocean |
|
EXPLICIT_SSH_SLOPE |
B-grid only for backward compatiblity: use ETAN for tilt
computations rather than geostrophic velocities |
|
6.6.2.3 Run-time parameters
Run-time parameters are set in files
data.pkg (read in packages_readparms.F),
and data.seaice (read in seaice_readparms.F).
A package is switched on/off at run-time by setting
(e.g. for SEAICE) useSEAICE = .TRUE. in data.pkg.
Table 6.16 lists most run-time parameters.
Table 6.16:
Run-time parameters and default values
|
|
|
|
|
|
Name |
Default value
|
Description |
Reference |
|
|
|
|
|
|
SEAICEwriteState |
T
|
write sea ice state to file
|
|
|
SEAICEuseDYNAMICS |
T
|
use dynamics
|
|
|
SEAICEuseTEM |
F
|
use truncated ellipse method
|
|
|
SEAICEuseMetricTerms |
T
|
use metric terms in dynamics
|
|
|
SEAICEuseEVPpickup |
T
|
use EVP pickups
|
|
|
SEAICEuseFluxForm |
F
|
use flux form for 2nd central difference advection scheme
|
|
|
SEAICErestoreUnderIce |
F
|
enable restoring to climatology under ice
|
|
|
useHB87stressCoupling |
F
|
turn on ice-ocean stress coupling following Hibler and Bryan [1987]
|
|
|
usePW79thermodynamics |
T
|
flag to turn off zero-layer-thermodynamics for testing
|
|
|
SEAICEadvHeff/Area/Snow/Salt/Age |
T
|
flag to turn off advection of scalar state variables
|
|
|
SEAICEuseFlooding |
T
|
use flood-freeze algorithm
|
|
|
SEAICE_no_slip |
F
|
switch between free-slip and no-slip boundary conditions
|
|
|
LAD |
2
|
time stepping scheme
|
|
|
IMAX_TICE |
10
|
iterations for ice heat budget
|
|
|
SEAICE_deltaTtherm |
dTracerLev(1)
|
thermodynamic timestep
|
|
|
SEAICE_deltaTdyn |
dTracerLev(1)
|
dynamic timestep
|
|
|
SEAICE_dumpFreq |
dumpFreq
|
dump frequency
|
|
|
SEAICE_taveFreq |
taveFreq
|
time-averaging frequency
|
|
|
SEAICE_dump_mdsio |
T
|
write snap-shot using MDSIO
|
|
|
SEAICE_tave_mdsio |
T
|
write TimeAverage using MDSIO
|
|
|
SEAICE_dump_mnc |
F
|
write snap-shot using MNC
|
|
|
SEAICE_tave_mnc |
F
|
write TimeAverage using MNC
|
|
|
SEAICE_initialHEFF |
0.00000E+00
|
initial sea-ice thickness
|
|
|
SEAICE_drag |
2.00000E-03
|
air-ice drag coefficient
|
|
|
OCEAN_drag |
1.00000E-03
|
air-ocean drag coefficient
|
|
|
SEAICE_waterDrag |
5.50000E+00
|
water-ice drag
|
|
|
SEAICE_dryIceAlb |
7.50000E-01
|
winter albedo
|
|
|
SEAICE_wetIceAlb |
6.60000E-01
|
summer albedo
|
|
|
SEAICE_drySnowAlb |
8.40000E-01
|
dry snow albedo
|
|
|
SEAICE_wetSnowAlb |
7.00000E-01
|
wet snow albedo
|
|
|
SEAICE_waterAlbedo |
1.00000E-01
|
water albedo
|
|
|
SEAICE_strength |
2.75000E+04
|
sea-ice strength Pstar
|
|
|
SEAICE_sensHeat |
2.28400E+00
|
sensible heat transfer (1.75E-03 * 1004 * 1.3)
|
|
|
SEAICE_latentWater |
5.68750E+03
|
latent heat transfer for water (1.75E-03 * 2.5E+06 * 1.3)
|
|
|
SEAICE_latentIce |
6.44740E+03
|
latent heat transfer for ice (1.75E-03 * 2.834E+06 * 1.3)
|
|
|
SEAICE_iceConduct |
2.16560E+00
|
sea-ice conductivity
|
|
|
SEAICE_snowConduct |
3.10000E-01
|
snow conductivity
|
|
|
SEAICE_emissivity |
5.50000E-08
|
Stefan-Boltzman
|
|
|
SEAICE_snowThick |
1.50000E-01
|
cutoff snow thickness
|
|
|
SEAICE_shortwave |
3.00000E-01
|
penetration shortwave radiation
|
|
|
SEAICE_freeze |
-1.96000E+00
|
freezing temp. of sea water
|
|
|
SEAICE_salinity |
0.0
|
salinity of ice
|
|
|
SEAICE_gamma_t |
UNSET
|
restoring time scale for basal freezing and melting
|
|
|
SEAICE_gamma_t_frz |
UNSET
|
restoring time scale for basal freezing
|
|
|
SEAICEstressFactor |
1.00000E+00
|
scaling factor for ice-ocean stress
|
|
|
Heff/Area/Hsnow/Hsalt/IceAgeFile |
UNSET
|
initial fields for variables HEFF/AREA/HSNOW/HSALT/ICEAGE
|
|
|
LSR_ERROR |
1.00000E-04
|
sets accuracy of LSR solver
|
|
|
DIFF1 |
4.00000E-03
|
parameter used in advect.F
|
|
|
A22 |
1.50000E-01
|
parameter used in growth.F
|
|
|
HO |
5.00000E-01
|
demarcation ice thickness
|
|
|
MAX_HEFF |
1.00000E+01
|
maximum ice thickness
|
|
|
MIN_ATEMP |
-5.00000E+01
|
minimum air temperature
|
|
|
MIN_LWDOWN |
6.00000E+01
|
minimum downward longwave
|
|
|
MAX_TICE |
3.00000E+01
|
maximum ice temperature
|
|
|
MIN_TICE |
-5.00000E+01
|
minimum ice temperature
|
|
|
SEAICE_EPS |
1.00000E-10
|
reduce derivative singularities
|
|
6.6.2.3.3 Input fields and units
- HeffFile:
- Initial sea ice thickness averaged over grid cell
in meters; initializes variable HEFF;
- AreaFile:
- Initial fractional sea ice cover, range
;
initializes variable AREA;
- HsnowFile:
- Initial snow thickness on sea ice averaged
over grid cell in meters; initializes variable HSNOW;
- HsaltFile:
- Initial salinity of sea ice averaged over grid
cell in g/m
; initializes variable HSALT;
- IceAgeFile:
- Initial ice age of sea ice averaged over grid
cell in seconds; initializes variable ICEAGE;
6.6.2.4 Description
[TO BE CONTINUED/MODIFIED]
The MITgcm sea ice model (MITgcm/sim) is based on a variant of the
viscous-plastic (VP) dynamic-thermodynamic sea ice model [Zhang and Hibler, 1997]
first introduced by Hibler [1980,1979]. In order to adapt this model
to the requirements of coupled ice-ocean state estimation, many
important aspects of the original code have been modified and
improved:
- the code has been rewritten for an Arakawa C-grid, both B- and
C-grid variants are available; the C-grid code allows for no-slip
and free-slip lateral boundary conditions;
- two different solution methods for solving the nonlinear
momentum equations have been adopted: LSOR [Zhang and Hibler, 1997], and EVP
[Hunke and Dukowicz, 1997];
- ice-ocean stress can be formulated as in Hibler and Bryan [1987] or as in
Campin et al. [2008];
- ice variables are advected by sophisticated, conservative
advection schemes with flux limiting;
- growth and melt parameterizations have been refined and extended
in order to allow for more stable automatic differentiation of the code.
The sea ice model is tightly coupled to the ocean compontent of the
MITgcm. Heat, fresh water fluxes and surface stresses are computed
from the atmospheric state and - by default - modified by the ice
model at every time step.
The ice dynamics models that are most widely used for large-scale
climate studies are the viscous-plastic (VP) model [Hibler, 1979], the
cavitating fluid (CF) model [Flato and Hibler, 1992], and the
elastic-viscous-plastic (EVP) model [Hunke and Dukowicz, 1997]. Compared to the VP
model, the CF model does not allow ice shear in calculating ice
motion, stress, and deformation. EVP models approximate VP by adding
an elastic term to the equations for easier adaptation to parallel
computers. Because of its higher accuracy in plastic solution and
relatively simpler formulation, compared to the EVP model, we decided
to use the VP model as the default dynamic component of our ice
model. To do this we extended the line successive over relaxation
(LSOR) method of Zhang and Hibler [1997] for use in a parallel
configuration.
Note, that by default the seaice-package includes the orginial
so-called zero-layer thermodynamics following Hibler [1980] with a
snow cover as in Zhang et al. [1998]. The zero-layer thermodynamic model
assumes that ice does not store heat and, therefore, tends to
exaggerate the seasonal variability in ice thickness. This
exaggeration can be significantly reduced by using
Semtner's [1976] three-layer thermodynamic model
that permits heat storage in ice. Recently, the three-layer
thermodynamic model has been reformulated by Winton [2000]. The
reformulation improves model physics by representing the brine content
of the upper ice with a variable heat capacity. It also improves
model numerics and consumes less computer time and memory. The Winton
sea-ice thermodynamics have been ported to the MIT GCM; they currently
reside under pkg/thsice. The package pkg/thsice is fully compatible
with pkg/seaice and with pkg/exf. When turned on together with
pkg/seaice, the zero-layer thermodynamics are replaced by the Winton
thermodynamics.
The sea ice model requires the following input fields: 10-m winds, 2-m
air temperature and specific humidity, downward longwave and shortwave
radiations, precipitation, evaporation, and river and glacier runoff.
The sea ice model also requires surface temperature from the ocean
model and the top level horizontal velocity. Output fields are
surface wind stress, evaporation minus precipitation minus runoff, net
surface heat flux, and net shortwave flux. The sea-ice model is
global: in ice-free regions bulk formulae are used to estimate oceanic
forcing from the atmospheric fields.
6.6.2.4.1 Dynamics
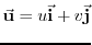
The momentum equation of the sea-ice model is
 |
(6.34) |
where
is the ice and snow mass per unit area;
is the ice velocity vector;
,
, and
are unit vectors in the
,
, and
directions, respectively;
is the Coriolis parameter;
and
are the wind-ice and ocean-ice stresses,
respectively;
is the gravity accelation;
is the gradient (or tilt) of the sea surface height;
is the sea surface
height potential in response to ocean dynamics (
), to
atmospheric pressure loading (
, where
is a
reference density) and a term due to snow and ice loading [Campin et al., 2008];
and
is the divergence of the internal ice
stress tensor
. Advection of sea-ice momentum is neglected. The wind and ice-ocean stress
terms are given by
where
are the surface winds of the atmosphere
and surface currents of the ocean, respectively;
are
air and ocean drag coefficients;
are reference
densities; and
are rotation matrices that act on the
wind/current vectors.
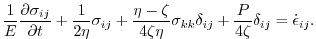
For an isotropic system the stress tensor
(
) can
be related to the ice strain rate and strength by a nonlinear
viscous-plastic (VP) constitutive law [Hibler, 1979; Zhang and Hibler, 1997]:
![$\displaystyle \sigma_{ij}=2\eta(\dot{\epsilon}_{ij},P)\dot{\epsilon}_{ij} + \le...
...epsilon}_{ij},P)\right]\dot{\epsilon}_{kk}\delta_{ij} - \frac{P}{2}\delta_{ij}.$](img2657.png) |
(6.35) |
The ice strain rate is given by
The maximum ice pressure
, a measure of ice strength, depends on
both thickness
and compactness (concentration)
:
![$\displaystyle P_{\max} = P^{*}c\,h\,e^{[C^{*}\cdot(1-c)]},$](img2660.png) |
(6.36) |
with the constants
(run-time parameter SEAICE_strength) and
. The nonlinear bulk and shear
viscosities
and
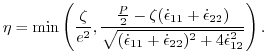
are functions of ice strain rate
invariants and ice strength such that the principal components of the
stress lie on an elliptical yield curve with the ratio of major to
minor axis
equal to
; they are given by:
The bulk viscosities are bounded above by imposing both a minimum
(for numerical reasons, run-time parameter
SEAICE_EPS with a default value of
s
) and a maximum
, where
s
. (There is also
the option of bounding
from below by setting run-time
parameter SEAICE_zetaMin
, but this is generally not
recommended). For stress tensor computation the replacement pressure
[Hibler and Ip, 1995] is used so that the stress state
always lies on the elliptic yield curve by definition.
In the so-called truncated ellipse method the shear viscosity
is capped to suppress any tensile stress [Geiger et al., 1998; Hibler and Schulson, 1997]:
 |
(6.37) |
To enable this method, set #define SEAICE_ALLOW_TEM in
SEAICE_OPTIONS.h and turn it on with
SEAICEuseTEM=.TRUE. in data.seaice.
In the current implementation, the VP-model is integrated with the
semi-implicit line successive over relaxation (LSOR)-solver of
Zhang and Hibler [1997], which allows for long time steps that, in our case,
are limited by the explicit treatment of the Coriolis term. The
explicit treatment of the Coriolis term does not represent a severe
limitation because it restricts the time step to approximately the
same length as in the ocean model where the Coriolis term is also
treated explicitly.
Hunke and Dukowicz [1997]'s introduced an elastic contribution to the strain
rate in order to regularize Eq. 6.36 in such a way that
the resulting elastic-viscous-plastic (EVP) and VP models are
identical at steady state,
 |
(6.38) |
The EVP-model uses an explicit time stepping scheme with a short
timestep. According to the recommendation of Hunke and Dukowicz [1997], the
EVP-model is stepped forward in time 120 times within the physical
ocean model time step (although this parameter is under debate), to
allow for elastic waves to disappear. Because the scheme does not
require a matrix inversion it is fast in spite of the small internal
timestep and simple to implement on parallel computers
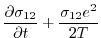
[Hunke and Dukowicz, 1997]. For completeness, we repeat the equations for the
components of the stress tensor
,
, and
. Introducing the divergence
, and the horizontal tension
and shearing strain rates,
and
, respectively, and using the above
abbreviations, the equations 6.39 can be written as:
Here, the elastic parameter
is redefined in terms of a damping timescale
for elastic waves
with the tunable parameter
and
the external (long) timestep
. Hunke and Dukowicz [1997] recommend
(which is the default value in the code).
To use the EVP solver, make sure that both SEAICE_CGRID and
SEAICE_ALLOW_EVP are defined in SEAICE_OPTIONS.h
(default). The solver is turned on by setting the sub-cycling time
step SEAICE_deltaTevp to a value larger than zero. The
choice of this time step is under debate. Hunke and Dukowicz [1997] recommend
order(120) time steps for the EVP solver within one model time step
(deltaTmom). One can also choose order(120) time
steps within the forcing time scale, but then we recommend adjusting
the damping time scale
accordingly, by setting either
SEAICE_elasticParm (
), so that
forcing time scale
, or directly
SEAICE_evpTauRelax (
) to the forcing time scale.
Moving sea ice exerts a stress on the ocean which is the opposite of
the stress
in Eq. 6.35. This stess is
applied directly to the surface layer of the ocean model. An
alternative ocean stress formulation is given by Hibler and Bryan [1987].
Rather than applying
directly, the stress is derived
from integrating over the ice thickness to the bottom of the oceanic
surface layer. In the resulting equation for the combined
ocean-ice momentum, the interfacial stress cancels and the total
stress appears as the sum of windstress and divergence of internal ice
stresses:
, [see also
Eq.2 of Hibler and Bryan, 1987]. The disadvantage of this formulation is that
now the velocity in the surface layer of the ocean that is used to
advect tracers, is really an average over the ocean surface
velocity and the ice velocity leading to an inconsistency as the ice
temperature and salinity are different from the oceanic variables.
To turn on the stress formulation of Hibler and Bryan [1987], set
useHB87StressCoupling=.TRUE. in data.seaice.
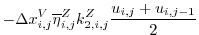
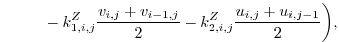
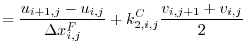
6.6.2.4.2 Finite-volume discretization of the stress tensor
divergence
On an Arakawa C grid, ice thickness and concentration and thus ice
strength
and bulk and shear viscosities
and
are
naturally defined a C-points in the center of the grid
cell. Discretization requires only averaging of
and
to
vorticity or Z-points (or
-points, but here we use Z in order
avoid confusion with the bulk viscosity) at the bottom left corner of
the cell to give
and
. In
the following, the superscripts indicate location at Z or C points,
distance across the cell (F), along the cell edge (G), between
-points (U),
-points (V), and C-points (C). The control volumes
of the
- and
-equations in the grid cell at indices
are
and
, respectively. With these definitions
(which follow the model code documentation except that
-points
have been renamed to Z-points), the strain rates are discretized as:
so that the diagonal terms of the strain rate tensor are naturally
defined at C-points and the symmetric off-diagonal term at
Z-points. No-slip boundary conditions (
and
across boundaries) are implemented via
``ghost-points''; for free slip boundary conditions
on boundaries.
For a spherical polar grid, the coefficients of the metric terms are
and
, with the spherical radius
and
the latitude
;
, and
. For a
general orthogonal curvilinear grid,
and
can be approximated by finite differences of the cell widths:
 |
 |
(6.45) |
 |
 |
(6.46) |
 |
 |
(6.47) |
 |
 |
(6.48) |
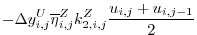
The stress tensor is given by the constitutive viscous-plastic
relation
[Hibler, 1979]. The stress tensor divergence
, is
discretized in finite volumes. This conveniently avoids dealing with
further metric terms, as these are ``hidden'' in the differential cell
widths. For the
-equation (
) we have:
Similarly, we have for the
-equation (
):
Again, no slip boundary conditions are realized via ghost points and
and
across boundaries. For
free slip boundary conditions the lateral stress is set to zeros. In
analogy to
on boundaries, we set
, or equivalently
, on boundaries.
6.6.2.4.3 Thermodynamics
In its original formulation the sea ice model [Menemenlis et al., 2005]
uses simple thermodynamics following the appendix of
Semtner [1976]. This formulation does not allow storage of heat,
that is, the heat capacity of ice is zero. Upward conductive heat flux
is parameterized assuming a linear temperature profile and together
with a constant ice conductivity. It is expressed as
, where
is the ice conductivity,
the ice
thickness, and
the difference between water and ice
surface temperatures. This type of model is often refered to as a
``zero-layer'' model. The surface heat flux is computed in a similar
way to that of Parkinson and Washington [1979] and Manabe et al. [1979].
The conductive heat flux depends strongly on the ice thickness
.
However, the ice thickness in the model represents a mean over a
potentially very heterogeneous thickness distribution. In order to
parameterize a sub-grid scale distribution for heat flux
computations, the mean ice thickness
is split into seven thickness
categories
that are equally distributed between
and a
minimum imposed ice thickness of
cm
by
for
. The heat fluxes computed for each
thickness category is area-averaged to give the total heat flux
[Hibler, 1984]. To use this thickness category parameterization set
#define SEAICE_MULTICATEGORY; note that this requires
different restart files and switching this flag on in the middle of an
integration is not possible.
The atmospheric heat flux is balanced by an oceanic heat flux from
below. The oceanic flux is proportional to
where
and
are
the density and heat capacity of sea water and
is the local
freezing point temperature that is a function of salinity. This flux
is not assumed to instantaneously melt or create ice, but a time scale
of three days (run-time parameter SEAICE_gamma_t) is used
to relax
to the freezing point.
The parameterization of lateral and vertical growth of sea ice follows
that of Hibler [1980,1979]; the so-called lead closing parameter
(run-time parameter HO) has a default value of
0.5 meters.
On top of the ice there is a layer of snow that modifies the heat flux
and the albedo [Zhang et al., 1998]. Snow modifies the effective
conductivity according to
where
is the conductivity of snow and
the snow thickness.
If enough snow accumulates so that its weight submerges the ice and
the snow is flooded, a simple mass conserving parameterization of
snowice formation (a flood-freeze algorithm following Archimedes'
principle) turns snow into ice until the ice surface is back at
[Leppäranta, 1983]. The flood-freeze algorithm is enabled with the CPP-flag
SEAICE_ALLOW_FLOODING and turned on with run-time parameter
SEAICEuseFlooding=.true..
Effective ice thickness (ice volume per unit area,
), concentration
and effective snow thickness
(
) are advected by ice velocities:
 |
(6.52) |
where
are the thermodynamic source terms and
the
diffusive terms for quantities
.
From the various advection scheme that are available in the MITgcm, we
choose flux-limited schemes [multidimensional 2nd and 3rd-order
advection scheme with flux limiter Hundsdorfer and Trompert, 1994; Roe, 1985] to
preserve sharp gradients and edges that are typical of sea ice
distributions and to rule out unphysical over- and undershoots
(negative thickness or concentration). These scheme conserve volume
and horizontal area and are unconditionally stable, so that we can set
. Run-timeflags: SEAICEadvScheme (default=2),
DIFF1 (default=0.004).
There is considerable doubt about the reliability of a ``zero-layer''
thermodynamic model -- Semtner [1984] found significant errors in
phase (one month lead) and amplitude (
50%overestimate) in
such models -- so that today many sea ice models employ more complex
thermodynamics. The MITgcm sea ice model provides the option to use
the thermodynamics model of Winton [2000], which in turn is based
on the 3-layer model of Semtner [1976] and which treats brine
content by means of enthalpy conservation. This scheme requires
additional state variables, namely the enthalpy of the two ice layers
(instead of effective ice salinity), to be advected by ice velocities.
The internal sea ice temperature is inferred from ice enthalpy. To
avoid unphysical (negative) values for ice thickness and
concentration, a positive 2nd-order advection scheme with a SuperBee
flux limiter [Roe, 1985] is used in this study to advect all
sea-ice-related quantities of the Winton [2000] thermodynamic
model. Because of the non-linearity of the advection scheme, care
must be taken in advecting these quantities: when simply using ice
velocity to advect enthalpy, the total energy (i.e., the volume
integral of enthalpy) is not conserved. Alternatively, one can advect
the energy content (i.e., product of ice-volume and enthalpy) but then
false enthalpy extrema can occur, which then leads to unrealistic ice
temperature. In the currently implemented solution, the sea-ice mass
flux is used to advect the enthalpy in order to ensure conservation of
enthalpy and to prevent false enthalpy extrema.
6.6.2.5 Key subroutines
Top-level routine: seaice_model.F
C !CALLING SEQUENCE:
c ...
c seaice_model (TOP LEVEL ROUTINE)
c |
c |-- #ifdef SEAICE_CGRID
c | SEAICE_DYNSOLVER
c | |
c | |-- < compute proxy for geostrophic velocity >
c | |
c | |-- < set up mass per unit area and Coriolis terms >
c | |
c | |-- < dynamic masking of areas with no ice >
c | |
c | |
c | #ELSE
c | DYNSOLVER
c | #ENDIF
c |
c |-- if ( useOBCS )
c | OBCS_APPLY_UVICE
c |
c |-- if ( SEAICEadvHeff .OR. SEAICEadvArea .OR. SEAICEadvSnow .OR. SEAICEadvSalt )
c | SEAICE_ADVDIFF
c |
c |-- if ( usePW79thermodynamics )
c | SEAICE_GROWTH
c |
c |-- if ( useOBCS )
c | if ( SEAICEadvHeff ) OBCS_APPLY_HEFF
c | if ( SEAICEadvArea ) OBCS_APPLY_AREA
c | if ( SEAICEadvSALT ) OBCS_APPLY_HSALT
c | if ( SEAICEadvSNOW ) OBCS_APPLY_HSNOW
c |
c |-- < do various exchanges >
c |
c |-- < do additional diagnostics >
c |
c o
6.6.2.6 SEAICE diagnostics
Diagnostics output is available via the diagnostics package
(see Section 7.1).
Available output fields are summarized in
Table 6.6.2.6.
Table 6.17:
Available diagnostics of the seaice-package
 |
6.6.2.7 Experiments and tutorials that use seaice
- Labrador Sea experiment in lab_sea verification directory.
Next: 6.6.3 SHELFICE Package
Up: 6.6 Sea Ice Packages
Previous: 6.6.1 THSICE: The Thermodynamic
Contents
mitgcm-support@mitgcm.org
| Copyright © 2006
Massachusetts Institute of Technology |
Last update 2010-08-24 |
 |
|