|
|
|
|
Next: 6.7 Packages Related to
Up: 6.6 Sea Ice Packages
Previous: 6.6.2 SEAICE Package
Contents
Subsections
6.6.3 SHELFICE Package
Authors: Martin Losch, Jean-Michel Campin
6.6.3.1 Introduction
Package ``shelfice'' provides a thermodynamic model for basal melting
underneath floating ice shelves.
CPP options enable or disable different aspects of the package
(Section 6.6.3.2).
Run-Time options, flags, filenames and field-related dates/times are
set in data.shelfice
(Section 6.6.3.3).
A description of key subroutines is given in Section
6.6.3.5.
Input fields, units and sign conventions are summarized in
Section 6.6.3.3, and available diagnostics
output is listed in Section 6.6.3.6.
6.6.3.2.1 Compile-time options
As with all MITgcm packages, SHELFICE can be turned on or off at compile time
- using the packages.conf file by adding shelfice to it,
- or using genmake2 adding
-enable=shelfice or -disable=shelfice switches
- required packages and CPP options:
SHELFICE does not require any additional packages, but it will only
work with conventional vertical
-coordinates (pressure coordinates
are not implemented, yet). If you use it together with vertical mixing
schemes, be aware, that non-local parameterizations have been turned
off, e.g. for KPP (6.4.2).
(see Section 3.4).
Parts of the SHELFICE code can be enabled or disabled at compile time
via CPP preprocessor flags. These options are set
SHELFICE_OPTIONS.h.
Table 6.6.3.2 summarizes these options.
Table 6.18:
Available CPP-flags to be set in SHELFICE_OPTIONS.h
|
CPP option |
Description |
|
ALLOW_SHELFICE_DEBUG |
Include code for enhanged diagnosis |
|
ALLOW_ISOMIP_TD |
Include code for simplifed ISOMIP thermodynamics |
|
6.6.3.3 Run-time parameters
Run-time parameters are set in files
data.pkg (read in packages_readparms.F),
and data.shelfice (read in shelfice_readparms.F).
A package is switched on/off at run-time by setting
(e.g. for SHELFICE) useSHELFICE = .TRUE. in data.pkg.
Table 6.19 lists all run-time parameters.
Table 6.19:
Run-time parameters and default values
|
|
|
|
|
|
Name |
Default value
|
Description |
Reference |
|
|
|
|
|
|
useISOMIPTD |
F
|
use simplified ISOMIP thermodynamics instead of default
|
|
|
SHELFICEconserve |
F
|
use conservative form of temperature boundary conditions
|
|
|
SHELFICEboundaryLayer |
F
|
use simple boundary layer mixing parameterization
|
|
|
SHELFICEloadAnomalyFile |
UNSET
|
inital geopotential anomaly
|
|
|
SHELFICEtopoFile |
UNSET
|
under-ice topography of ice shelves
|
|
|
SHELFICElatentHeat |
334.0E+03
|
latent heat of fusion (
)
|
|
|
SHELFICEHeatCapacity_Cp |
2000.0E+00
|
latent heat of fusion (
)
|
|
|
rhoShelfIce |
917.0E+00
|
(constant) mean density of ice shelf (
)
|
|
|
SHELFICEheatTransCoeff |
1.0E-04
|
transfer coefficient (exchange velocity) for temperature
(
)
|
|
|
SHELFICEsaltTransCoeff |
5.05E-03
SHELFICEheatTransCoeff
|
transfer coefficient (exchange velocity) for salinity
(
)
|
|
|
SHELFICEkappa |
1.54E-06
|
temperature diffusion coefficient of the ice shelf (
)
|
|
|
SHELFICEthetaSurface |
-20.0E+00
|
(constant) surface temperature above the ice shelf (
)
|
|
|
no_slip_shelfice |
no_slip_bottom (data)
|
flag for slip along bottom of ice shelf
|
|
|
SHELFICEDragLinear |
bottomDragLinear (data)
|
linear drag coefficient at bottom ice shelf
|
|
|
SHELFICEDragQuadratic |
bottomDragQuadratic (data)
|
quadratic drag coefficient at bottom ice shelf
|
|
|
SHELFICEwriteState |
F
|
write ice shelf state to file
|
|
|
SHELFICE_dumpFreq |
dumpFreq (data)
|
dump frequency
|
|
|
SHELFICE_taveFreq |
taveFreq (data)
|
time-averaging frequency
|
|
|
SHELFICE_tave_mnc |
timeave_mnc (data.mnc)
|
write snap-shot using MNC
|
|
|
SHELFICE_dump_mnc |
snapshot_mnc (data.mnc)
|
write TimeAverage using MNC
|
|
6.6.3.3.3 Input fields and units
- SHEFLICEtopoFile:
- under-ice topography of ice shelves in
meters; upwards is positive, that as for the bathymetry files,
negative values are required for topography below the sea-level;
- SHEFLICEloadAnomalyFile:
- pressure load anomaly at the bottom of
the ice shelves in pressure units (Pa); this field is absolutely
required to avoid large excursions of the free surface during
initial adjustment processes; obtained by integrating an approximate
density from the surface at
down to the bottom of the last
fully dry cell within the ice shelf, see
Eq. (6.60); however, the file
SHEFLICEloadAnomalyFile must not be
, but
, with
rhoConst, so that in the absenses of a
that is different from
, the anomaly is zero.
6.6.3.4 Description
In the light of isomorphic equations for pressure and height
coordinates, the ice shelf topography on top of the water column has a
similar role as (and in the language of Marshall et al. [2004] is
isomorphic to) the orography and the pressure boundary conditions at
the bottom of the fluid for atmospheric and oceanic models in pressure
coordinates.
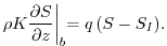
The total pressure
in the ocean can be divided into the
pressure at the top of the water column
, the hydrostatic
pressure and the non-hydrostatic pressure contribution
:
 |
(6.53) |
with the gravitational acceleration
, the density
, the
vertical coordinate
(positive upwards), and the dynamic
sea-surface height
. For the open ocean,
(atmospheric pressure) and
. Underneath an ice-shelf that is
assumed to be floating in isostatic equilibrium,
at the top
of the water column is the atmospheric pressure
plus the
weight of the ice-shelf. It is this weight of the ice-shelf that has
to be provided as a boundary condition at the top of the water column
(in run-time parameter SHELFICEloadAnomalyFile).
The weight is conveniently computed by integrating a density profile
, that is constant in time and corresponds to the sea-water
replaced by ice, from
to a ``reference'' ice-shelf draft at
[Beckmann et al., 1999], so that
 |
(6.54) |
Underneath the ice shelf, the ``sea-surface height''
is the
deviation from the ``reference'' ice-shelf draft
. During a model
integration,
adjusts so that the isostatic equilibrium is
maintained for sufficiently slow and large scale motion.
In the MITgcm, the total pressure anomaly
which is used for
pressure gradient computations is defined by substracting a purely
depth dependent contribution
with a constant reference
density
from
. Eq. (6.56) becomes
with
and
. The non-hydrostatic pressure contribution
is
neglected in the following.
In practice, the ice shelf contribution to
is computed by
integrating Eq. (6.57) from
to the bottom of the last
fully dry cell within the ice shelf:
 |
(6.57) |
where
is the vertical index of the first (at least partially)
``wet'' cell and
is the thickness of the
-th
layer (counting downwards). The pressure anomaly for evaluating the pressure
gradient is computed in the center of the ``wet'' cell
as
 |
(6.58) |
where
for
and 0
otherwise.
Setting SHELFICEboundaryLayer=.true. introduces a simple
boundary layer that reduces the potential noise problem at the cost of
increased vertical mixing. For this purpose the water temperature at
the
-th layer abutting ice shelf topography for use in the heat
flux parameterizations is computed as a mean temperature
over a boundary layer of the same thickness as
the layer thickness
:
 |
(6.59) |
where
is the fractional layer thickness of the
-th
layer. The original contributions due to ice shelf-ocean interaction
to the total tendency terms
in the
time-stepping equation
are
and  |
(6.60) |
for layers
and
(
is the heat capacity). Averaging
these terms over a layer thickness
(e.g., extending
from the ice shelf base down to the dashed line in cell C) and
applying the averaged tendency to cell A (in layer
) and to the
appropriate fraction of cells C (in layer
) yields
Eq. (6.65) describes averaging over the part of the
grid cell
that is part of the boundary layer with tendency
and the part with no tendency. Salinity is treated in
the same way. The momentum equations are not modified.
6.6.3.4.1 Three-Equations-Thermodynamics
Freezing and melting form a boundary layer between ice shelf and
ocean. Phase transitions at the boundary between saline water and ice imply
the following fluxes across the boundary: the freshwater mass flux
(
for melting); the heat flux that consists of the diffusive
flux through the ice, the latent heat flux due to melting and freezing
and the heat that is carried by the mass flux; and the salinity that
is carried by the mass flux, if the ice has a non-zero salinity
.
Further, the position of the interface between ice and ocean changes
because of
, so that, say, in the case of melting the volume of sea
water increases. As a consequence salinity and temperature are
modified.
The turbulent exchange terms for tracers at the ice-ocean interface
are generally expressed as diffusive fluxes. Following
Jenkins et al. [2001], the boundary conditions for a tracer take
into account that this boundary is not a material surface.
The implied upward freshwater flux
(in mass units, negative for
melting) is included in the boundary conditions for the temperature
and salinity equation as an advective flux:
 |
(6.63) |
where tracer
stands for either temperature
or salinity
.
is the tracer at the interface (taken to be at freezing),
is
the tracer at the first interior grid point,
is the density of
seawater, and
is the turbulent exchange coefficient (in
units of an exchange velocity). The left hand side of
Eq. (6.66) is shorthand for the (downward) flux of tracer
across the boundary.
,
and the freshwater flux
are
obtained from solving a system of three equations that is derived from
the heat and freshwater balance at the ice ocean interface.
In this so-called three-equation-model [e.g., Hellmer and Olbers, 1989; Jenkins et al., 2001] the heat balance at the ice-ocean interface is expressed
as
 |
(6.64) |
where
is the density of sea-water,
J kg$^-1$ K$^-1$
is the specific heat
capacity of water and
the turbulent exchange coefficient of temperature. The value of
is discussed in Holland and Jenkins [1999].
J kg$^-1$
is the latent heat of fusion.
kg m$^-3$
,
J kg$^-1$ K$^-1$
, and
are the density,
heat capacity and the surface temperature of the ice shelf;
m$^2$ s$^-1$
is the heat
diffusivity through the ice-shelf and
is the ice-shelf draft. The
second term on the right hand side describes the heat flux through the
ice shelf. A constant surface temperature
is
imposed.
is the temperature of the model cell adjacent to the
ice-water interface. The temperature at the interface
is
assumed to be the in-situ freezing point temperature of sea-water
which is computed from a linear equation of state
 |
(6.65) |
with the salinity
and the pressure
(in dBar) in the
cell at the ice-water interface. From the salt budget, the salt flux
across the shelf ice-ocean interface is equal to the salt flux due to
melting and freezing:
 |
(6.66) |
where
is the turbulent salinity
exchange coefficient, and
and
are defined in analogy to
temperature as the salinity of the model cell adjacent to the
ice-water interface and at the interface, respectively. Note, that the
salinity of the ice shelf is generally neglected (
).
Equations (6.67) to (6.69) can
be solved for
,
, and the freshwater flux
due to
melting. These values are substituted into expression (6.66)
to obtain the boundary conditions for the temperature and salinity
equations of the ocean model.
This formulation tends to yield smaller melt rates than the simpler
formulation of the ISOMIP protocol because the freshwater flux due to
melting decreases the salinity which raises the freezing point
temperature and thus leads to less melting at the interface. For a
simpler thermodynamics model where
is not computed explicitly,
for example as in the ISOMIP protocol, equation (6.66) cannot
be applied directly. In this case equation (6.69)
can be used with Eq. (6.66) to obtain:
 |
(6.67) |
This formulation can be used for all cases for which
equation (6.69) is valid. Further, in this
formulation it is obvious that melting (
) leads to a reduction of
salinity.
The default value of SHELFICEconserve=.false. removes the
contribution
from Eq. (6.66), making the
boundary conditions for temperature non-conservative.
6.6.3.4.2 ISOMIP-Thermodynamics
A simpler formulation follows the ISOMIP protocol
(http://efdl.cims.nyu.edu/project_oisi/isomip/overview.html). The
freezing and melting in the boundary layer between ice shelf and ocean
is parameterized following Grosfeld et al. [1997]. In this formulation
Eq. (6.67) reduces to
 |
(6.68) |
and the fresh water flux
is computed from
 |
(6.69) |
In order to use this formulation, set run-time parameter
useISOMIPTD=.true. in data.shelfice.
The shelfice package and experiments demonstrating
its strenghts and weaknesses are also described in
Losch [2008]. However, note that unfortunately the description of
the thermodynamics in the appendix of Losch [2008] is wrong.
6.6.3.5 Key subroutines
Top-level routine: shelfice_model.F
C !CALLING SEQUENCE:
C ...
C |-FORWARD_STEP :: Step forward a time-step ( AT LAST !!! )
C ...
C | |-DO_OCEANIC_PHY :: Control oceanic physics and parameterization
C ...
C | | |-SHELFICE_THERMODYNAMICS :: main routine for thermodynamics
C with diagnostics
C ...
C | |-THERMODYNAMICS :: theta, salt + tracer equations driver.
C ...
C | | |-EXTERNAL_FORCING_T :: Problem specific forcing for temperature.
C | | |-SHELFICE_FORCING_T :: apply heat fluxes from ice shelf model
C ...
C | | |-EXTERNAL_FORCING_S :: Problem specific forcing for temperature.
C | | |-SHELFICE_FORCING_S :: apply fresh water fluxes from ice shelf model
C ...
C | |-DYNAMICS :: Momentum equations driver.
C ...
C | | |-MOM_FLUXFORM :: Flux form mom eqn. package ( see
C ...
C | | | |-SHELFICE_U_DRAG :: apply drag along ice shelf to u-equation
C with diagnostics
C ...
C | | |-MOM_VECINV :: Vector invariant form mom eqn. package ( see
C ...
C | | | |-SHELFICE_V_DRAG :: apply drag along ice shelf to v-equation
C with diagnostics
C ...
C o
6.6.3.6 SHELFICE diagnostics
Diagnostics output is available via the diagnostics package
(see Section 7.1).
Available output fields are summarized in
Table 6.6.3.6.
Table 6.20:
Available diagnostics of the shelfice-package
 |
6.6.3.7 Experiments and tutorials that use shelfice
Next: 6.7 Packages Related to
Up: 6.6 Sea Ice Packages
Previous: 6.6.2 SEAICE Package
Contents
mitgcm-support@mitgcm.org
| Copyright © 2006
Massachusetts Institute of Technology |
Last update 2010-08-24 |
 |
|